2025年09月18日 09:24:46 来源:苏州纽迈分析仪器股份有限公司 >> 进入该公司展台 阅读量:6
低场核磁反演技术
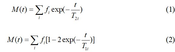
无论是低场核磁纵向弛豫还是低场核磁横向弛豫,对于决大多数样品来说,低场核磁弛豫信号都可以用多指数函数来表达。通常情况下,分别利用CPMG实验和IR实验来检测样品的横向弛豫过程和纵向弛豫过程,低场核磁弛豫信号的数学表达式如公式(1)和公式(2)所示:

其中fi表示样品中第i种成分的信号强度,总信号的大小是所有成分产生信号大小的总和,T2i和T1i表示样品中第i种成分的横向弛豫时间和纵向弛豫时间。
低场核磁反演技术:
弛豫信号反演的目标是通过上面的公式(1)、公式(2)来计算样品中的每个值(或者称为样品中质子分布的密度函数,也称为T1分布或T2分布)。下面采用矩阵的形式重新改写上述数学表达式:
Y=A * F
低场核磁反演技术实例:
以多组分T2反演为例,如下图,左边是回波串,右边是反演结果(T2分布)。下式表示每一个回波的等式系统。一般物质的T2分布是一个连续函数,但是为简化反演,计算使用一个多指数模型,并假定T2分布包含有m个独立的弛豫时间T2i,对应的幅值分量为fi。T2i的值是预先选定的(如0.5ms,1ms,2ms,4ms,8ms,16ms,32ms,64ms,128ms,256ms,512ms,…)。反演的过程主要是确定每个分布的孔隙度分量.

低场核磁反演技术(T2分布)
定组分反演和二维反演在原理上和多组分反演都是一致的,是一个设置模型不断寻优的过程。不同的方法间,模型函数和寻优方法会有稍许不同。
