广告招募

当前位置:中非贸易网 > 技术中心 > 所有分类

核磁共振_应用研究水泥浆体中可蒸发水的1H 核磁共振弛豫特征及状态演变

2025年09月19日 09:22:50      来源:苏州纽迈分析仪器股份有限公司 >> 进入该公司展台      阅读量:4

分享:

应用背景


水泥基材料作为一种多相复合材料,其水化硬 化过程中的相组成和转变一直是人们关注的热点。水作为水泥基材料的重要组分,与水泥粉体混合后初始以液相状态填充在水泥颗粒的间隙,在随后的水化硬化过程中,一部分参与水化反应变成化学结合水,成为凝胶产物微晶的一部分,这部分水通过干燥蒸发的方法也不能去除,因而也被称为不可蒸发水;现代水泥基材料科学的研究表明,不可蒸发水的含量与材料水化反应的程度和产物的晶体结构相关,而可蒸发水的含量及其状态与材料的抗冻性、抗腐蚀性、徐变、干燥收缩等性能关系密切.由于水泥水化反应随时间变化的连续性,不可蒸发水和可蒸发水的含量及状态也在不断变化.研究水泥基材料中水的相转变,探索不同状态的水的演变规律,对于充分认识水泥基材料的组成和结构,揭示材料的劣化机理具有重要意义.
低场核磁共振技术对多孔介质中水的研究应用已逐步从生命科学、地球物理等领域扩展到建筑材料领域,该方法可在不破坏样品的前提下,利用水分子中质子的弛豫特性研究水含量及其分布的变化,具有快速、连续、无损的优势。


下面简单介绍采用核磁共振测试系统水泥浆体中可蒸发水的1H 核磁共振弛豫特征及状态演变。


核磁共振分析

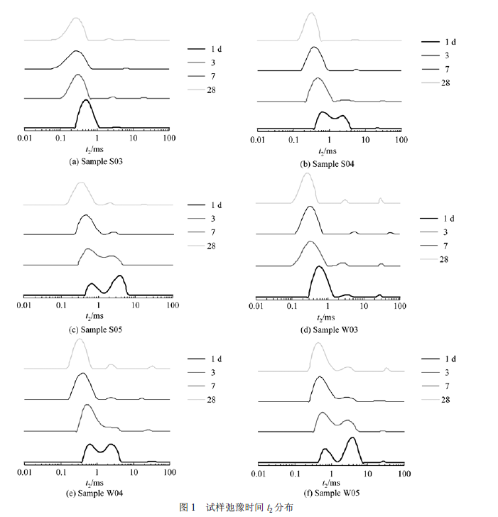
各试样弛豫信号经反演后的分布如图 1 所示

,所有样品的 弛豫时间分布均呈1 个或2 个主峰,并伴有少量微弱的次峰。主峰分布在0.1~10.0 ms 的范围内,随着养护时间的延长,弛豫峰逐步向左移动,即分布趋向于短弛豫时间。试样弛豫时间分布趋短是由于随着龄期的增长水化产物不断增多,逐步将原先较大的孔隙填充细化,未反应的可蒸发水逐渐分布在较小的孔隙中.


如图2 所示,各试样平均弛豫时间随龄期增长而下降,早期1~7 d 内下降快,之后变化平缓。

从上图中可以看出中的3 条曲线变化趋势一致,其斜率均由 水灰比大的试样其平均弛豫时间大于水灰比小的,饱水养护的大于密闭养护的

(参考文献:水泥浆体中可蒸发水的1H 核磁共振弛豫特征及状态演变》 硅 酸 盐 学 报 2009, Vol.37, 0

版权与免责声明:
1.凡本网注明"来源:中非贸易网"的所有作品,版权均属于中非贸易网,转载请必须注明中非贸易网。违反者本网将追究相关法律责任。
2.企业发布的公司新闻、技术文章、资料下载等内容,如涉及侵权、违规遭投诉的,一律由发布企业自行承担责任,本网有权删除内容并追溯责任。
3.本网转载并注明自其它来源的作品,目的在于传递更多信息,并不代表本网赞同其观点或证实其内容的真实性,不承担此类作品侵权行为的直接责任及连带责任。其他媒体、网站或个人从本网转载时,必须保留本网注明的作品来源,并自负版权等法律责任。 4.如涉及作品内容、版权等问题,请在作品发表之日起一周内与本网联系。