广告招募

当前位置:中非贸易网 > 技术中心 > 所有分类

核磁共振应用-不同荷载水平及速率下超软土水相试验研究

2025年09月19日 09:44:21      来源:苏州纽迈分析仪器股份有限公司 >> 进入该公司展台      阅读量:7

分享:

不同荷载水平及速率下超软土水相核磁共振试验研究


近些年来, 核磁共振作为一个跨学科的测试技术方法用于研究不同砂岩岩石、催化剂、胶体和生物组织,并且越来越多地应用于包括岩土介质在内的各种材料物理及几何特征测试及估算,如用于水泥在水渐进析出变化状态下各类凝胶孔隙水特征; 岩体 含水层范围测试及其岩石孔隙度、渗透率、导水系数估算,以及在石油及其开采领域所涉及介质的分析应用等.该技术方法亦推广应用于主要由细观矿物 及含水孔隙构成的软土的相关分析研究.
下面简单介绍在取之于实际工程的淤泥土的不同类型荷载水平及速率试验基础上, 进行核磁共振水相测试, 以探索何种荷载水平及速率下饱和超软土(淤泥)中结合水(主要为弱结合水) 可转化为自由水及与转化量的可能对应关系, 以为地基工程设计提供基础.


核磁共振T2谱图/水分分布情况


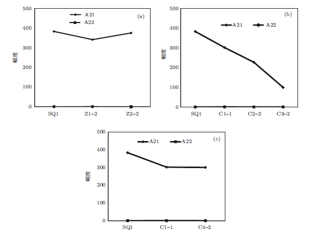
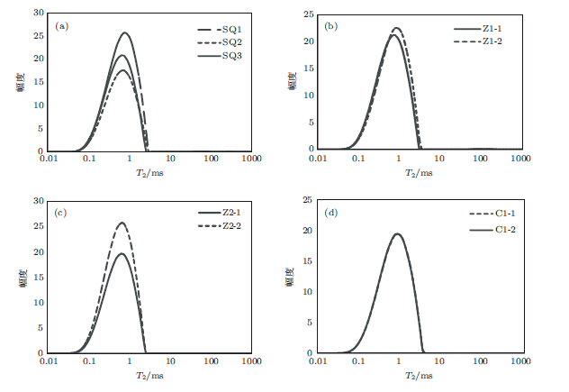
T2 弛豫时间反映了样品内部氢质子所处的化学环境, 与氢质子所受的束缚力及其自由度(水分状态) 有关, 而氢质子的束缚程度又与样品的内部结构有密不可分的关系. 在多孔介质中, 孔径越大,存在于孔中的水弛豫时间越长; 孔径越小, 存在于孔中的水受到的束缚程度越大, 弛豫时间越短.下图所示为15个淤泥土样品的T2弛豫谱图。

上图所示为15个淤泥土样品的T2弛豫谱图。



下图可清楚观察到, 相对于测试前, 真三轴(围压100 kPa, 竖向冲击荷载水平100 kPa, 加载速率1.6 MPa/s 及以下) 不同频率试验样品的个峰值基本无变化。表明该种荷载频率及水平下非自由水基本不会转化为自由水;相对于测试前, 高速冲击荷载下非自由水可转化为自由水, 而且冲击总 能量越大, 就越易析出自由水. 此外, 由图4 (c) 可见, 样品所受到侧限约束刚度对非自由水转化为自由水的影响可忽略.

更多详情请参考文献 “不同荷载水平及速率下超软土水相核磁共振试验研究”《物理学报》Vol. 63, No. 1 (2014) 018202

版权与免责声明:
1.凡本网注明"来源:中非贸易网"的所有作品,版权均属于中非贸易网,转载请必须注明中非贸易网。违反者本网将追究相关法律责任。
2.企业发布的公司新闻、技术文章、资料下载等内容,如涉及侵权、违规遭投诉的,一律由发布企业自行承担责任,本网有权删除内容并追溯责任。
3.本网转载并注明自其它来源的作品,目的在于传递更多信息,并不代表本网赞同其观点或证实其内容的真实性,不承担此类作品侵权行为的直接责任及连带责任。其他媒体、网站或个人从本网转载时,必须保留本网注明的作品来源,并自负版权等法律责任。 4.如涉及作品内容、版权等问题,请在作品发表之日起一周内与本网联系。