锅炉在长期的运行中会引起管式空气预热器堵塞,究其原因通常有四点,是省煤器漏水引起预热器大面积堵塞;第二是省煤器或空气预热器用水清洗后,在其尚未干燥的情况下启动锅炉引起空气预热器的堵灰;第三是保温材料等杂物进入空气预热器内引起烟流不畅而堵灰;第四是烟气中二氧化硫和三氧化硫引起的堵灰。
高压水射流清洗技术是以水为介质,利用高压水发生装置产生高压水,通过喷嘴将巨大的压力转变为能量高度聚集的水射流,利用高压水射流的强大冲击力冲击污垢,把污垢剥离、清除,从而达到清洗的目的。由于高压水射流具有冲刷、楔劈、剪切、磨削等复合破碎作用,可立即将结垢物打碎脱落并冲走,从而实现垢层和管壁的分离。
高压水射流清洗技术用于锅炉管式空气预热器清堵不仅要求高压水射流能将管内的堵灰清洗掉,并可以及时将清洗掉的堵灰带出管外,而且还要求喷嘴和与其相连接的高压水软管,在清洗时能自动地在空气预热器管内前进,以减轻清洗工人的劳动强度。为了满足上述要求,我们选择了分流式喷嘴结构,使从喷嘴出口的射流分成两部分,一部分由喷嘴前孔射出,另一部分由喷嘴的反射孔射出。喷嘴前孔喷出的射流垂直打击在管内堵灰上,可直接清洗管内堵灰。喷嘴反射孔喷出的射流以反射角作用在内壁上,不仅能进一步清洗管内壁上的堵灰,并将清洗掉的堵灰及时排出管外,而且能使管壁对喷嘴产生向前的反作用力,使喷嘴在管内便于前进。分流式喷嘴的工作原理如下图:
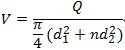
射流出口速度计算:根据质量守恒定律,高压水射流进出喷嘴的体积流量满足:

公式(1)
一般认为
V1=
V2=
V,则由公式(1)可得:

公式(2)