高压水射流油管清洗喷头的关键是密封技术,密封失效不但会浪费水力能量,而且容易造成密封后部轴承的失效,从而影响整个喷头的使用。常见的旋转密封一般为O形圈密封或填料密封,由于水的润滑性差,粘度低,随着使用压力及旋转速度的不断提高,摩擦副极易受损。而高压水间隙密封机构则可以很好地解决这一问题。
间隙密封的机制是在固定件和运动件的接触面设置一个很小的环形间隙,流体在通过这一环形间隙时,由于节流效应产生很大的流阻,从而减少了泄漏。在间隙中流动的流体遵循阻抗流动法则。我们在设计过程中,同时参考迷宫密封原理,在旋转套上加工多道沟槽,进一步耗散流体的能量,增强密封效果。但这种密封机构仍不可避免地存在流体泄漏现象,经研究认为,当泄漏量小于射流流量的10%时密封有效,否则判定为失效。密封部位泄漏量可由下式计算:

公式(1)
公式(1)中:q —泄漏量,m³/s;
C
e —修正系数;
d —密封面中径,m;
μ —流体动力粘度,Pa•s;
L —密封段长度,m;
h —密封间隙高度,m;
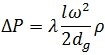
ΔP —密封两端压力差,Pa可由下式近似计算:

公式(2)
公式(2)中:λ —阻力系数,与雷诺数有关;
ρ —流体的密度,kg/m³;
d
g —等效直径,m可由下式近似计算:

公式(3)
需要指出的是,应合理设计密封段直径和间隙的高度,尽可能减少不必要的泄漏。密封段直径越小,密封间隙就越小,泄漏就越少,但加工手段也会越复杂。同时,考虑装配的灵活性因素,我们认为密封段直径不大于10 mm,密封间隙取为0.002~0.005 mm是比较合适的。心轴上的沟槽尺寸暂时没有可用的理论或经验数据,试验后认为(0.5 mm×0.5 mm)是比较理想的。