2025年11月20日 09:12:03 来源:南京高谦功能材料科技有限公司 >> 进入该公司展台 阅读量:5
超滤膜孔径分析仪如何操作?
/c123382/products/d.html
PSMA10型超滤膜孔径分析仪-微滤膜孔径分布仪,超滤膜孔径分析仪,膜孔径分布仪,微滤膜孔径分布仪,超滤膜孔径分布仪,微滤膜孔径分析仪,泡点法孔径测试仪,泡压法孔径分析仪,电池隔膜孔径分析仪,
产品简介
YI、PSMA10型超滤膜孔径分析仪产品概述:
PSMA10型超滤膜孔径分析仪由南京工业大学材料化学工程国家重点实验室与南京高谦功能材料科技有限公司合作开发,汇集了研发团队在膜分离域的多年经验和在相关仪器开发中的长期技术积累。仪器依据液—液置换法原理,通过集成化系统实现数据的自动采集、分析和计算,适用于测量超滤膜和微滤膜的孔径分布。膜的液体通量由跨膜压力和对应液体流速算得。随着膜产业的高速发展,膜孔径与通量分析仪将成为高等学校、科研院所、生产企业、环保、计量、质检等相关单位的业仪器,用于聚合物、陶瓷、玻璃、金属等各种膜材料的产品研发、生产质量控制、使用故障分析等。

技术参数
二、PSMA10型超滤膜孔径分析仪技术参数:
外形尺寸 (mm):480×420×230
流量 (mL/min):010
孔径测量范围:8 nm 200 nm
重量 (kg):~20
工作介质:水、有机溶剂
工作压力 (MPa):01
管路接口 (mm):8
环境温度 (C):440
注:配备中空纤维、管式、片式膜样品池,亦可根据用户特殊需求定制。
工作原理
三、PSMA10型超滤膜孔径分析仪基本原理:
根据液—液排除法的基本原理,将膜的孔道内充满润湿液,用与之不相溶的另一液体作为渗透液压入膜孔道,由于液体在孔道中受毛细管张力作用,孔道的孔径越大则润湿液越容易被渗透液排出,亦即先被渗透液打开的孔道大。同理,后被打开的孔道小,孔道直径可由开孔压力算出。计算公式如下:
![]()
其中d为孔径,γ为润湿液与渗透液间的界面张力,θ为润湿液与膜材料的接触角,P为开孔压力。
通过渗透液流量与压力的对应关系,按照数学模型即可计算膜材料的孔径分布情况。

四、PSMA10型超滤膜孔径分析仪参照标准:
ASTM F316-2003:Standard Test Methods for Pore Size Characteristics of Membrane Filters by Bubble Point and Mean Flow Pore Test
ASTM D6767-2002 :Standard Test Method for Pore Size Characteristics of Geotextiles by Capillary Flow Test
ASTM E1294-1999:Standard Test Method for Pore Size Characteristics of Membrane Filters Using Automated Liquid Porosimeter
ISO 4003-1990:渗透性烧结金属材料-起泡试验孔隙大小的测定
GB/T 14041. 1-2007:液压传动、滤芯、结构完整性的验证和初始冒泡点的确定
HY/T 051-1999:中空纤维微孔滤膜测试方法
HY/T 064-2002:管式陶瓷微孔滤膜测试方法
五、PSMA10型超滤膜孔径分析仪功能介绍:
GaoQ MPF10型膜孔径与通量分析仪主要功能:大孔径、平均孔径、孔径分布、纯水或其它液体通量。
1、大孔径
随着渗透液压力的提高,当开始检测到稳定的渗透液流量时,即说明diyi个孔道(即大孔道)被打开,将此时的压力值带入上述公式可算得大孔径。本仪器采用高精度流量检测器,能够自动判断和测量大孔径。
2、平均孔径
随着渗透液压力的提高,精确测量渗透液流量与压力的关系曲线(俗称“湿曲线”),当润湿液排除后,缓慢降低渗透液压力并再次精确测量渗透液与压力的关系曲线(俗称“干曲线”)。将“干曲线”数据点的纵坐标值除以2得到一组新的数据点,绘成曲线即为俗称的“半干曲线”。根据“半干曲线”与“湿曲线”交点所对应的压力即可计算平均孔径,如下图案例。这样计算出的平均孔径又被称为“通量中分孔径”,亦即高于此孔径和低于此孔径的孔道对膜通量的贡献各占一半。

3、孔径分布
通过对比“湿曲线”和“干曲线”的差异,采用一定的数学模型计算即可获得膜材料的孔径分布情况,由计算软件绘制出孔径分布图和孔径累计分布图。

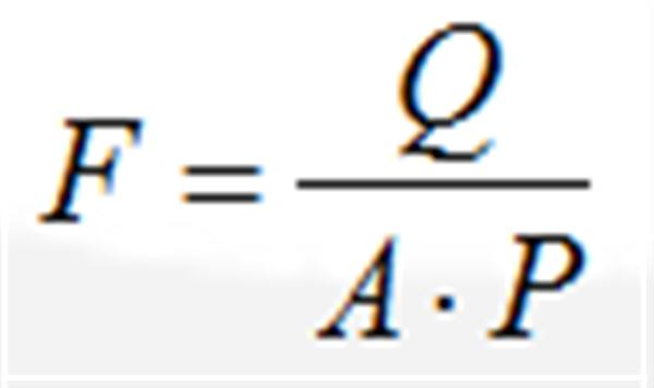
4、纯水通量
以纯水为渗透介质,精确测量水流量与压力的关系曲线,即可计算纯水通量F:
![]()
其中,Q为纯水的流量,A为膜面积,P为压力。
5、液体通量
除纯水之外,本仪器也可以测量其它液体的渗透通量,方法同上。
相关关键词:不锈钢曝气管,金属膜,多孔不锈钢材料,不锈钢曝气头,多孔不锈钢滤芯,不锈钢滤芯,多孔不锈钢,梯度型不锈钢膜,多孔金属片,粉末烧结滤芯,多孔不锈钢片,不锈钢烧结滤芯,孔径测试仪,孔径分析仪,孔径分布仪,膜孔径分析仪,膜孔径测试仪,膜孔径分布仪,微滤膜孔径分布仪,超滤膜孔径分布仪,微滤膜孔径分析仪,超滤膜孔径分析仪,泡点法孔径测试仪,泡压法孔径分析仪,电池隔膜孔径分析仪,毛细流动法孔径测试仪,毛细流动法孔径分析仪,液液法孔径分析仪,气液法孔径分析仪,多孔材料孔径分析仪,鼓泡孔径分析仪,泡点法孔径分析仪,有机膜孔径分析仪,隔膜孔径分析仪,锂电池隔膜孔径分析仪,陶瓷膜孔径分析仪,无纺布孔径分析仪,中空纤维膜孔径分析仪,平板膜孔径分析仪,金属膜孔径分析仪钯膜,钯膜组件,氢气纯化器,氢气纯化器,泡点仪,完整性测试仪,过滤器完整性测试仪,滤材完整性测试仪,滤芯完整性测试仪,呼吸器完整性测试仪,全自动完整性测试仪
原创作者:南京高谦功能材料科技有限公司