多孔材料孔径及孔径分布-多孔材料孔径及孔径分布方法@技术资讯,多孔材料孔径及孔径分布,膜孔径分布仪,微滤膜孔径分布仪,超滤膜孔径分布仪,微滤膜孔径分析仪,超滤膜孔径分析仪,泡点法孔径测试仪,泡压法孔径分析仪
据技术部9月29日17点12分透露:(/c123382/products/d.html)
YI、多孔材料孔径及孔径分布简介:
摘要:孔径及其分布显著影响着多孔体的透过性、渗透速率、过滤性等一系列性能。本文介绍多孔材料孔径及其分布的常用测定方法,包括断面直接观测法、气泡法、透过法、压汞法、气体吸附法、液-液法、悬浮液过滤法、X 射线小角度散射法等,并对几种测量方法进行了比较。
二、多孔材料孔径及孔径分布概述:
孔径及孔径分布是多孔材料的重要性质,虽对多孔体的许多力学性能与热性能等依赖关系较小,但对多孔体的透过性、渗透速率、过滤性能等其它一系列的性质均具有显著的影响,因而其表征方法受到广泛关注。例如:多孔材料过滤器的主要功能是截留流体中分散的固体颗粒,而其孔径及孔径分布就决定了过滤精度和截留效率[3];电反应动力学与多孔电的孔结构参数有着密切的关系,而孔径大小即是其中重要的结构参数;多孔过滤膜中的孔隙特性更是直接地影响到过滤膜的性能与使用寿命,因此测定其孔隙尺寸及分布是膜的研制和使用等过程中的一项重要内容。多孔材料的孔径指的是多孔体中孔隙的名义直径,一般都有平均或等效的意义。其表征方式有大孔径、平均孔径、孔径分布等,相应的测定方法也有很多,如断面直接观测法、气泡法、透过法、压汞法、气体吸附法、离心力法、悬浮液过滤法、X 射线小角度散射法等。其中直接观测法只宜于测量个别或少数孔隙的孔径,而其它的间接测量均是利用一些与孔径有关的物理现象,通过实验测出各相关物理参数,并在假设孔隙为均匀圆孔的条件下计算出等效孔径。本文即介绍了各种常用的测定方法。
三、多孔材料孔径及孔径分布方法:
1、断面直接观测法:
本法是先得出断面尽量平整的多孔材料试样,然后通过显微镜(如用电镜观察不导电试样时可xianjin行喷金处理)或投影仪读出断面上规定长度内的孔隙个数,由此计算平均弦长(L),再将平均弦长换算成平均孔隙尺寸(D)。大多数孔隙并非球形,而是接近于不规则的多面体构型,但在计算过程中为方便起见,仍将其视为具有某一直径(D)的球体,这样便可得到关系公式为:D=L/(0.785)2=L/0.616 (1)
式中:D 为多孔体的平均孔径,L 为测算出的孔隙平均弦长。
文献亦介绍了利用断面光学显微观测分析多孔材料孔隙尺寸分布的方法,其在给定光学图像内考虑的孔隙处于图形确定的平面内,每个被观测孔隙的横截面积 S 均近似成直径为 dp 的圆面积,但这样得出的 dp 值具有不确定性,因为图片平面的开孔面可能发生倾斜。
2、气泡法
本法是利用对通孔材料具有良好浸润性的液体浸渍多孔材料试样,使之充满于开孔隙空间,然后通过气体将连通孔中的液体推出,依据所用气体压力来计算孔径值。
气泡法的测试原理主要基于测量经通孔型多孔材料所逸出气体的所需压力与流量。气泡法测定通孔型多孔材料大孔径的方式,是利用对材料具有良好浸润性的液体(常用的有水、乙醇、异丙醇、丁醇、等)浸润试样,使试样中的开口孔隙达到饱和,然后以另一种流体(一般为压缩气体)将试样孔隙中的浸入液体吹出。当气体压力由小逐渐增大,达到某一定值时,气体即可将浸渍液体从孔隙(视为毛细管)中推开而冒出气泡,测定出现第 1 个气泡时的压力差,就可按公式(2)计算出多孔试样的毛细管等效大孔径:

(2)
式中:r 为多孔材料的大孔隙半径(m),σ为浸渍液体的表面张力(N/m),θ 为浸渍液体对被测材料的浸润角(接触角/ o),当wanquan浸润时,θ 即为 0o,△Р 为在静态下试样两面的压力差(Pa)。在测定孔径分布时,是继试样冒出第 1 个气泡后,不断增大气体压力使浸渍孔道从大到小逐渐打通冒泡,同时气体流量也随之不断增大,直至压差增大到液体从所有的小孔中排除[9]。根据气体流量与对应压差的关系曲线,即可求出多孔材料的孔径分布。
值得指出的是,气泡法测定的孔径及孔径分布均是对于贯通孔的。文献对本法测定孔径分布进行了解析。
该法的数据处理方式如下:根据所测得的压力值 P 和它相应的流量值 Q,做出 Q-P 曲线,由曲线的起始点到开始变为直线点的一段,选择合适的试验点,从曲线上分别作切线,并由横轴对应点分别作垂线,与曲线相交,相应点的垂线上曲线和切线之间的长度为△Qk 值,压力 Pk 相应于该部分平均孔径 rk 所对应的压力,由一系列的 Pk 值和△Qk值可求出样品的(V-r)积分曲线和(dV/dr—r)的微分曲线。
对于选定的浸渍液体,σ 和θ 为定值。测量出现第 1 个气泡时对应的气体压差,按公式(2)即可计算出样品的大孔径值。通过测量试样两端面间的气体压力差和流经样品的气体流量,即可得出流量-压差曲线,解析曲线可得孔径分布。该方法的大优点是仪器结构简单,易操作,测量重复性好,且可jingque测定大孔径。但气泡受浸渍液体表面张力的限制,用气体推出样品中细小孔隙内的浸渍液体时要求较高压强,故难以测量小于 0.1 μm 的孔径。例如以无水乙醇为浸渍介质,测量 0.01 μm数量的小孔径时,所需气体压力为 4.4 MPa,从而使仪器的结构复杂化。因此,气泡法不适于测量细的孔径。
在普通气泡法测量中,由于大孔对流量的影响比较大,致使小孔的测量精度不高,甚至有一部分小孔被忽略[3]。为避免该问题,有些学者提出用中流量孔径来表示多孔材料的特性。先用干样品测量出压差-流量曲线,然后用预先在已知表面张力液体中浸润过的湿样品测量出压差-流量曲线,找出湿样品流量恰好等于干样品流量 1/2 时的压差值。在此压差下求出的孔径称为中流量孔径。这种方法比普通气泡法更为接近多孔材料的实际性能。
3、透过法
本法原理与气泡法相同,即利用层流条件的气体通过多孔材料,并视孔道为正直的圆形毛细管。由此法得出的多孔材料有效平均孔隙直径为:

(3)
式中:η 为流体的粘滞系数,α 为多孔体中孔道的弯曲系数,L 为多孔体的厚度,A 为多孔试样的透过截面积,△ Q 为透过多孔体的气流总流量,△P 为多孔试样两端流体的压差。
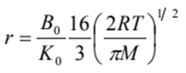
4、气体渗透法
利用气体渗透法测定多孔材料的平均孔径,这是其它一些检测方法(特别是对于水性多孔材料平均孔径测定的一些经典方法,如压汞法和吸附法等)所不能比拟的,因为它几乎能测定所有可渗透孔的孔径。其原理基于气体通过多孔材料的流动,以此利用气体渗透法来测定渗透孔的平均孔径。气体流动一般存在两种成份,一是自由分子流动(Kundsen 流动),二是粘性流动。当渗透孔的孔直径远大于气体分子的平均自由程时,粘性流占主导地位;反之,自由分子流占主导地位。由该法得出的多孔材料的平均孔半径(m)为:

(4)
式中:B0 为多孔材料的几何因子(m2),K0 为自由分子流的渗透系数(m2/s),R 为气体分子常数,T 为温度,M 为渗透气体的摩尔分子质量。
从公式(4)式可见,无需得知多孔材料的孔率和弯曲因子,即可求出平均孔径的数值。但当多孔材料的渗透孔直径远大于气体分子的平均自由程时,式中的 K0 很小,实验中很难测定。因此,这时就不能用该式来计算平均孔径。在过渡流渗透试验中,利用空气、氮气和氩气等不同气体测定多孔材料的 K0 值,及根据公式(4)所求的平均孔半径均是接近的,这就是说,不管气体种类如何,该试验都能提供一个较为一致的数值。
5、液-液法
本法是采用与液体浸渍介质不相溶的另一种液体作为渗透介质,代替气泡法中的气体将试样孔道中的浸渍介质推出。选择界面张力低的液-液系统,如选用水-正丁醇系统,该系统的界面张力为1.8×10-3 N/m,用其测量 10 μm~0.01 μm 的孔径时仅需 3.6×10-4 MPa ~3.6×10-1 MPa 的测试压力,仪器结构较为简化,且造价低廉,操作方便。与气泡法相同,该法可测量大孔径和孔径分布。
液-液法实质上是气泡法的延伸。R E Resting 于20 世纪 70 年代初期早提出用液-液法测量超细过滤聚合薄膜的孔径及孔径分布,并对流量-压差曲线进行了图解分析;国内也曾介绍过采用异丁醇水系统对多孔镍过滤器孔径分布的测定,测试孔径的下限为 0.159 μm,后来又有人对该法进行了开发应用,并将实测孔径下限扩展到 0.014 μm。
6、悬浮液过滤法
过滤法通常测定多孔材料的大孔径,它是利用一定粒度组成的球形粒子制成悬浮液,然后让其在层流条件下通过多孔体,透过多孔体后的悬浮液中所包含的大粒子直径,即是多孔体的大孔径,该孔径就是实际孔道中内切圆的直径。悬浮液过滤法测定多孔材料的孔径分布,其原理是采用与过滤过程相模拟的方法,对过滤后悬浮液中粒子的粒度分布变化规律进行定量分析,从而得出多孔体的孔径分布状况[9]。流体过滤是一个复杂过程,过滤时多孔体对粒子的捕集机理也有很多,如栅栏、惯性、钩住、静电、沉降和扩散作用等。其中静电作用只发生在材料与粒子间带电的情况下,沉降作用则只出现在流体通过速度低的场合,而扩散作用随粒子直径与流速增大而降低。
若在层流条件下适当提高流体速度,扩散作用亦可忽略。惯性作用正比于流体流速、粒度平方和粒子密度,反比于流体粘度,故采用高粘度的悬浮液与低密度的粒子,惯性作用即可大大减小,钩住作用也会降低。可见,只要控制一定的过滤条件,就可使过滤过程对粒子的捕集简化到以栅栏作用为主,这样即可找出多孔体的孔径分布与过滤净化效果之间的联系。为方便,悬浮液中的粒子采用球形体,
孔径即用通过该孔隙的大球径来表示。
本法适于一般多孔材料,特别是多孔过滤材料的孔径分布测量,但不适于超细孔径材料的孔径测量。因为当材料的孔径小到可与流体的平均自由程相比时,流体的透过作用就会以扩散为主。
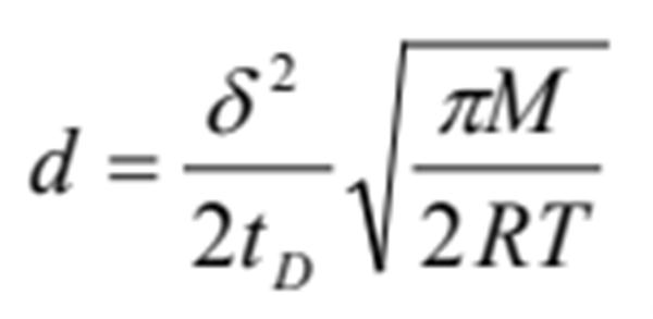
7、时间滞后法
本法是气体透过法中测定超细多孔材料平均孔径的一种特殊形式。当气体通过远小于其平均自由程的孔隙时,就会成为分子流,其通过的时间取决于气体的扩散系数。而采用已知扩散系数的气体通过多孔试样,测出其成为稳定流的滞后时间,即可得到多孔体的平均孔径:

(5)
式中:d 为孔隙的平均直径,δ 为多孔体的厚度,tD 为气体成为稳定流的滞后时间,M 为气体的分子量,R 为气体常数,T 为温度。
8、气体吸附法
恒温下从 1013.25 Pa~101 325 Pa 逐步升高作为吸附质的气体分压,测定多孔试样对其相应的吸附量,由吸附量对分压作图,可得到多孔体的吸附等温线;反过来从 101 325 Pa~1013.25 Pa 逐步降低分压,测定相应的脱附量,由脱附量对分压作图,则可得到对应的脱附等温线[15]。试样的孔隙体积由气体吸附质在沸点温度下的吸附量计算。在沸点温度下,当相对压力为 1 或非常接近于 1 时,吸附剂的微孔和中孔一般可因毛细管凝聚作用而被液化的吸附质充满。
根据毛细管凝聚原理,孔的尺寸越小,在沸点温度下气体凝聚所需的分压就越小。而在不同分压下所吸附的吸附质液态体积对应于相应尺寸孔隙的体积,故可由孔隙体积的分布来测定孔径分布。
一般而言,脱附等温线更接近于热力学稳定状态,故常用脱附等温线计算孔径分布。假定孔隙为圆柱形,则根据 Kelvin 方程,孔隙半径可表为:

(6)
式中:σ 为吸附质在沸点时的表面张力,R 为气体常数,Vm 为液体吸附质的摩尔体积(液氮 3.47×10-5m3/mol),T 为液态吸附质的沸点(液氮沸点为 77K),P 为达到吸附或脱附平衡后的气体压力,
P0 为气体吸附质在沸点时的饱和蒸气压,亦即液态吸附质的蒸气压力。
实际上,孔壁在凝聚之就已存在吸附层,或脱附后还留下一个吸附层。因此,实际的孔隙半径应该是:

(7)
式中:t 为吸附层的厚度(m)。
根据计算可得

在此基础上,采用脱附等温线,由 BJH 理论即可计算出多孔体的孔径分布。对于孔径在 30 nm 以下的多孔材料,常用气体吸附法来测定其孔径分布;而对于孔径在 100 μm以下的多孔体,则常用压汞法来测定其孔径分布。
文献利用氮气等温解吸(脱附)原理来测算催化剂和催化剂截体的孔隙尺寸分布,其检测的尺寸范围可在 1.5 nm~ 100 nm 左右。
9、压汞法
根据(2)式,一定的压力值对应于一定的孔径值,而相应的汞压入量则相当于该孔径对应的孔体积。这个体积在实际测定中是后两个相邻的实验压力点所反应的孔径范围内的孔体积。所以,在实验中只要测定多孔材料在各个压力点下的汞压入量,即可求出其孔径分布。
压汞法测定多孔材料的孔径即是利用汞对固体表面不浸润的特性,用一定压力将汞压入多孔体的孔隙中以克服毛细管的阻力。由(2)式可得孔隙直径为:

(9)
式中:D 为多孔体的孔隙直径(m),其它符号意义同。
应用压汞法测量的多孔体连通孔隙直径分布范围一般在几十个纳米到几百个微米之间[18]。将被分析的多孔材料置于压汞仪中,在压汞仪中被孔隙吸进的汞体积即是施加于汞上压力的函数。根据(2)式,可推导(详细过程略)得出表征半径为 r 的孔隙体积在多孔试样内所有开孔隙总体积中所占百分比的孔半径分布函数 ψ(r):

(10)
式中:ψ(r)为孔径分布函数,表示半径为 r 的孔隙体积占有多孔试样中所有开孔隙总体积的百分比,V 为半径小于 r 的所有开孔体积,VTO 为试样的总体开孔体积,P 为将汞压入半径为 r 的孔隙所需压力,即给予汞的附加压力,σ 为汞的表面张力,α为汞与材料的浸润角。
上式右端各量是已知或可测的。为求得 ψ(r),公式(10)中的导数可用图解微分法得到,后将ψ(r)值对相应的 r 点绘图,即可得出孔半径分布曲线。
压汞法测定多孔材料孔径分布的操作步骤 为:将称量好的多孔试样置于膨胀计(膨胀计由 1 个测量汞压入量的带刻度毛细玻璃管和与 1 个盛装样品的玻璃样品室连接在一起构成[17])的试样室中,然后将膨胀计放入充汞装置内。抽真空形成真空条件(真空度为 1.33 Pa ~ 0.013 Pa)后,向膨胀计充汞并wanquan浸没试样。压入多孔体内的汞量由膨胀计的毛细管中汞柱的高度变化来表示。当对汞所施附加压力低于大气压时,向充汞装置中导入大气,使作用于汞上的压力从真空状态逐渐提高到大气压,利用该过程中毛细管茎中汞的体积变化,来测定粗孔部分的体积(对于多孔镍来说,获得可测大于 1.22 μm 以上的孔径所需压强[8])。为了使汞进入孔径更小的孔隙,须对汞施加更高的压力。随着施加压力的增大,汞逐渐充满到较小的孔隙中,直至所有开孔隙被汞填满为止。当作用于试样中汞上的压力从大气压提高到仪器的压力,根据膨胀计毛细管茎中汞的体积变化,可测出细孔部分的体积。从上述过程可得到汞压入量与压力的关系曲线,并由此可求得其开孔隙的孔径分布。由于仪器承受压力的限制,压汞法可测的小孔径一般为几十个纳米到几个微米。而由于装置结构必然具有一定的汞头压力,故可测的大孔径也是有限的,一般为几百个微米。不同的测孔仪采用不同的汞体积测量方法。结构不同的膨胀计分别适于目测法、电阻法、机械跟踪法和电容法 4 种测试方法,其中较好的是电容法。其原因如下:目测法使用的压力不能太高;电阻法由于铂丝对温度变化的敏感和汞对其的不浸润性,往往引起长度测量误差而导致汞压入量的测量误差;机械跟踪法的高压容器需要严格的密封结构,并要经常更换密封元件;而电容法则不存在上述问题。美国 Micromeritics 公司在 20 世纪 80 年代就已具有近 20 种规格的膨胀计,其中大规格的可达15 cm3 体积的取样。因为压汞法可测范围宽,测量结果具有良好的重复性,门仪器的操作以及有关数据处理等也比较简便和jingque,故已成为研究多孔材料孔隙特性的重要方法。本法与气泡法测定大孔径及孔径分布的原理相同,但过程相反:气泡法利用能浸润多孔材料的液体介质(如水、乙醇、异丙醇、丁醇、等)浸渍,待试样的开孔隙饱和后再以压缩气体将毛细管中的液体挤出而冒泡。气泡法测定孔径分布的重复性不如压汞法好,测量范围不如压汞法宽,且小孔测试困难,但对大孔径的测量精度较高。
10、X 射线和中子的小角度散射
当 X 射线照射到试样上时,如果试样内部存在纳米尺寸的密度不均匀区,则会在入射束周围的小角度区域内(一般 2θ 不超过 3o)出现散射 X 射线,这种现象称为 X 射线小角散射或小角 X 射线散射(Small Angle X-Ray Scattering,缩写为 SAXS)。根据电磁波散射的反比定律,相对于波长来说,散射体的有效尺寸越大则散射角越小。所以,广角 X射线衍射(WAXD)关系着原子尺度范围内的物质结构,而小角 X 射线散射(SAXS)则相应于尺寸在零点几纳米至近百纳米区域内电子密度的起伏(即散射体和周围介质电子密度的差异)。纳米尺度的微粒子和孔洞均可产生小角散射现象。因此由散射图形(或曲线)的分析,可以解析散射体粒子体系或多孔体系的结构。这种方式对样品的适用范围宽,不管是干态还是湿态都适用;不管是开孔还是闭孔都能检测到。但需注意小角散射在趋向大角一侧的强度分布往往都很弱,并且起伏很大。小角散射也可用来测定多孔系统的孔隙尺寸分布。将平行的单能量 X 射线束或中子束打到样品上并在小角度下散射,绘出散射强度 I 作为散射波矢量 q 的函数图线。散射函数 I(q)取决于样品的内部结构,每种具有等尺寸球形孔隙作任意分布的多孔体都会产生 1 个特性函数。假定这样一种简单的模型,就可以得出孔隙半径或孔隙尺寸的分布状态。
其中 X 射线可探测纳米尺寸的孔隙,而中子束可检测粗大的多的孔隙,直径可达几十个微米。但在各种情况下,这些方法也仅能用于微孔金属体系。
此外,Figueroa-Gerstenmaier 等近还介绍了一种结合“基础测量理论”和“密度函数理论”,从吸附数据间接计算测定非晶态多孔玻璃孔隙尺寸分布的方法。由于这种方法普适性不强,且计算较为繁杂,故本文在此不作详论,有兴趣的读者可参阅相关论文。我国现行相关国家检测标准见文献。
四、结语
用气体渗透法、气泡压力法和压汞法均可测定多孔材料渗透孔隙的平均孔径。在多孔材料的孔径测定中,压汞法是的经典方法,但它是以渗透孔和半渗透孔的总和作为检测对象,而气体渗透法和气泡法仅检测渗透孔。另外,孔在长度范围内,其横截面不可能像理论假设的那样一致,压汞法测定的是开口处的孔,而气体渗透法测定的是小横截面处的孔。因此,寻求这两种方法所得结果的一致性是难以实现的,除非被测多孔材料全部具有理想的圆柱状直通孔。两种测定方法所得结果之差反映了被测材料孔形结构的不同。多孔材料中渗透孔的狭部分决定气体渗透法的检测结果,而压汞法则只要孔两端的横截面较大,汞压入量就不会体现在小横截面的孔数值上。因此,压汞法结果高于正确的气体渗透法结果。气泡法和压汞法都可测量样品的孔径分布,但两者亦稍有偏离。当然,这先也是因为气泡法测定的是全通孔,而压汞法测定的是全通孔和半通孔。另外,当气泡法测定气体流量时,流量计的精度不高,一部分细孔被忽略,使结果偏高;而压汞法则由于样品中含有“墨水瓶”式的孔,升压曲线向对应于孔半径较低的方向偏移,故使结果偏低。气泡法测定孔径分布基于用气体置换液体所需的压力和通过多孔材料的气体流量,由建立 Q-P 曲线得到微分结构曲线,可测得十分之几微米到几百个微米的孔径。大气泡压力能较准确地给出样品大的贯通孔。实验表明,压力增加速度(dP/dt)越小,则测量效果越好,否则所测得的 r 值偏高。为此在测定过程中需缓慢升压,以减少测定时所产生的误差。
气泡压力法和气体渗透法结果比较相近,这是因为这两种方法都是以多孔材料的渗透孔为检测对象。气泡压力法对于准确测定多孔材料的大渗透孔是十分有效的,对于平均孔的测定,则仅局限于孔分布比较集中的多孔材料,且受被测材料需与被选溶液wanquan润湿之局限,所以不太适于聚四氟乙烯等憎水材料。此外,气泡压力法不适于孔半径小于 0.5 μm 的多孔材料,而分别根据粘性流和过渡流气体的渗透试验测定则既可用于亲水性的多孔材料,又可用于憎水性的多孔材料。多孔材料的孔道形状复杂,影响孔径测量的因素也会很多,上述各种测定方法得出的结果亦将有所差异,故孔径的测定方法好与终的使用情况相模拟,如对过滤材料好用过滤法,对阻火材料和电池电材料好用气泡法和压汞法[6]。
五、参考文献
[1] Gibson L J, Ashby M F. Cellular Solids: Structure and Properties—Second Edition[M]. Cambridge: Cambridge University Press, 1997.
[2] 朱小龙, 苏雪筠. 中国陶瓷[J], 2000, 36(4): 36
[3] 许祥在, 翟秋兰. 分析仪器[J], 1999, (4): 48
[4] 陈开敏. 电源技术[J], 1982, 31(6): 27
[5] 丁祥全, 张继周, 宝志琴等. 无机材料学报[J], 2000, 15(3): 493
[6] 宝鸡有色金属研究所编. 粉末冶金多孔材料,diyii卷[M]. 北京: 冶金工业出版社, 1979: 6
[7] 曾汉民. 高技术新材料要览[M]. 北京: 中国科技出版社, 1993: 156
[8] 黄培云. 粉末冶金原理(第二版)[M]. 北京: 冶金工业出版社, 1997: 370
[9] 宝鸡有色金属研究所编. 粉末冶金多孔材料, 第二卷[M]. 北京: 冶金工业出版社, 1979: 1
[10] 钱志屏. 泡沫塑料[M]. 北京: 中国石化出版社, 1998: 349
[11] Langlois S, Coeurent F. Journal of Applied Electrochemistry[J], 1989, 19: 43
[12] 张汝珍, 蒋正典, 程继贵. 粉末冶金技术[J], 1992, 10(4): 295
[13] 刘培生, 马晓明. 多孔材料检测方法[M]. 北京: 冶金工业出版社, 2006: 64
[14] 胡荣泽. 粉末颗粒和孔隙的测量[M]. 北京: 冶金工业出版社, 1982: 270
[15] 范云鸽, 李燕鸿, 马建标. 高分子学报[J], 2002, (2): 173
[16] ASTM. Standard Practice for Calculation of Pore Size Distributions of Catalysts from Nitrogen Desorption Isotherms[S]. D4641-94, 1994.
[17] 陈开敏. 电源技术[J], 1986, 55(6): 31
[18] 美国金属学会编, 韩风麟译. 金属手册(第九版, 第七卷): 粉末冶金[M]. 北京: 机械工业出版社, 1994: 358
[19] 李志宏, 吴 东, 孙予罕等. 煤炭转化[J], 2001, 24(1): 11
[20] Banhart J. Progress in Materials Science[J], 2001, 46: 559
[21] Figueroa-Gerstenmaier S, Avalos J B, Gelb L D et al.Langmuir[J], 2003, 19(20): 8592
[22] GB 5249-85: 可渗透性烧结金属材料——气泡试验孔径的测定[S]. 1986
[23] GB/T 1967-1996: 多孔陶瓷孔道直径试验方法[S]. 1997
[24] GB/T 12811-91: 硬质泡沫塑料平均泡孔尺寸试验方法[S]. 1992
Determining Methods for Aperture and Aperture Distribution of Porous Materials
Liu Peisheng
(The Key Laboratory of Beam Technology and Material Modification of Ministry of Education, Beijing Normal University, Beijing 100875, China)
Abstract: The aperture and its distribution plays a remarkable role in permeation behavior, infiltration rate and filtration character of porous bodies. The methods in common use for determining the aperture and its distribution of porous materials are introduced, which include the direct observation from cross-section, the gas-bubble method, the permeation method, the mercury method, the gas-adsorption method, the liquid-liquid method, the suspension-filtration method, the X-ray small-angle scattering method, and so forth; and several measuring methods are compared with one another.
Key words: porous materials; foams materials; determine methods
公司介绍
相关关键词:不锈钢曝气管,金属膜,多孔不锈钢材料,不锈钢曝气头,多孔不锈钢滤芯,不锈钢滤芯,多孔不锈钢,梯度型不锈钢膜,多孔金属片,粉末烧结滤芯,多孔不锈钢片,不锈钢烧结滤芯,孔径测试仪,孔径分析仪,孔径分布仪,膜孔径分析仪,膜孔径测试仪,膜孔径分布仪,微滤膜孔径分布仪,超滤膜孔径分布仪,微滤膜孔径分析仪,超滤膜孔径分析仪,泡点法孔径测试仪,泡压法孔径分析仪,电池隔膜孔径分析仪,毛细流动法孔径测试仪,毛细流动法孔径分析仪,液液法孔径分析仪,气液法孔径分析仪,多孔材料孔径分析仪,鼓泡孔径分析仪,泡点法孔径分析仪,有机膜孔径分析仪,隔膜孔径分析仪,锂电池隔膜孔径分析仪,陶瓷膜孔径分析仪,无纺布孔径分析仪,中空纤维膜孔径分析仪,平板膜孔径分析仪,金属膜孔径分析仪钯膜,钯膜组件,氢气纯化器,氢气纯化器,泡点仪,完整性测试仪,过滤器完整性测试仪,滤材完整性测试仪,滤芯完整性测试仪,呼吸器完整性测试仪,全自动完整性测试仪,多孔材料孔径及孔径分布
原创作者:南京高谦功能材料科技有限公司