2025年11月26日 12:05:27 来源:北京华益瑞科技有限公司 >> 进入该公司展台 阅读量:4

您是否曾经被告知不要平均相对湿度 (RH)?您是否曾经使用Short Cut生成采集程序,并注意到它在生成数据表时不允许平均相对湿度?您知道为什么吗?
在这篇博客文章中,我将简要描述为什么你不应该平均相对湿度的原因,并分享一些数据来说明其影响。
让我们从相对湿度的定义开始。大多数文本和在线资源对相对湿度的定义如下:
其中e是观测/测量的水气压,并且es是饱和水气压。然而,水气压可能不是直观的概念。简而言之,相对湿度是给定体积空气中观察到的水量除以空气在不产生降水的情况下可以容纳的极大水量。该饱和点高度依赖于温度。
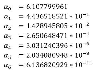
Lowe (1976)1描述了以下用于计算饱和水气压的模型:
其中T是以摄氏度为单位的温度,拟合系数 (α) 的值如下:
虽然我们可以考虑其他方法来获得饱和水气压,但Lowe模型用于Campbell Scientific数据记录器,因此在本文中,我将限于该方法。
有两个原因可以解释为什么在给定数据间隔内简单的 RH 平均值通常不是极优方式。首先,RH 是一个计算值。数学家和统计学家建议是,在平均值等操作中使用原始数据,然后计算所需的值。此外,根据定义,RH 限于 0 到 100 之间的值。因此,接近这些上限和下限的值不能像朝向中间的值那样变化,这违反了统计假设。
不使用简单平均相对湿度的个也是更重要的原因是,该值会随温度迅速变化,尤其是在较高温度下。图1显示了基于Lowe模型的温度和饱和水气压之间的关系。
特别值得注意的是,饱和水气压在较高温度下变化更快。因此,在较高温度下RH的简单算术平均值可能会有更大的误差。在较长的时间间隔内求平均值也可能导致更大的误差。
在给定间隔内获得平均相对湿度的首方法是平均水气压和饱和水气压,然后根据这些平均值计算相对湿度。这是一个下载CRBasic示例程序的链接/documents/us/miscellaneous/blog-resources/AvgRH_eg.dld。在每次扫描期间,该程序计算水气压和饱和水气压,然后将水气压平均值存储在临时隐藏表中。然后使用这些值来计算 RH,并且所有值都存储在小时表中。
为了说明计算RH平均值(简单算术与平均水气压)的两种方法之间的差异,从犹他州洛根坎贝尔科学设施附近的气象站收集了大约17个月的数据。使用了类似于上述程序的程序,并以四个间隔存储数据:
· 30 分钟
· 1小时
· 3小时
· 24小时
图 2显示了结果:
如果这两种方法相同,我们希望所有数据点都排在红色 1:1 线上。对于半小时和每小时的间隔,有很好的一致性。但是,对于较长的间隔,误差会大大增加。有趣的是,至少在这些数据中,简单平均引起的误差几乎总是会导致正偏差。换句话说,简单的算术平均值几乎总是高估平均相对湿度。
世界气象组织(WMO)2 、美国国家气候学家协会(AASC)都建议相对湿度测量的不确定性(误差)小于3%。在极坏的情况下,平均相对湿度引起的误差会累加传感器误差。例如,如果传感器规格规定它在大部分范围内都在2.3%以内,则任何额外的误差都需要限制在1%以下,以保守地满足WMO和AASC的建议。
表1显示了平均方法(简单平均值减去水气压平均值)差异的一些统计数据,包括平均值,极大值和极小值,以及一些百分位数。50% 的数据介于 25% 到 75 百分位数之间,95% 的数据介于 2.5 到 97.5 百分位数之间。
表 1.简单平均水气压和平均水气压之间的差异比较
对于半小时和每小时间隔,大多数数据彼此相差不到 1%。因此,对于这些间隔,简单平均值可能是可以接受的,具体取决于您使用的传感器和数据的目的以及其他注意事项。然而,较大的区间显示出很大的偏差,并表明RH的简单平均值不能很好地代表数据。此外,值得注意的是,对于许多数据需要存储其他指标(例如露点或简单的水气压)来说,它可能更具信息性。
我希望这有助于澄清为什么出于数学和统计以及实用的原因,平均相对湿度通常不是一个好主意。如果您确实需要平均相对湿度,尤其是在较长的时间间隔内,更好的做法是使用平均观测水气压和饱和水气压来计算每个时间间隔的相对湿度。欢迎您根据需要修改可下载的示例程序。或者,只需存储观察到的水气压和温度(在坎贝尔科学数据记录器中轻松完成)。如果需要,可以在后处理中计算相对湿度和露点。
1Lowe, P.R. 1976. An Approximating Polynomial for the Computation of Saturation Vapor Pressure. Journal of Applied Meteorology 16: 100-103.
2World Meteorological Organization. Guide to Meteorological Instruments and Methods of Observation. [WMO-No. 8]. Geneva, Switzerland: s.n., 2014.