广告招募

当前位置:中非贸易网 > 技术中心 > 所有分类

陆地生态系统碳汇综合观测系统(TCOS)

2025年11月26日 12:15:00      来源:北京华益瑞科技有限公司 >> 进入该公司展台      阅读量:13

分享:

气候变化是当前人类生存和发展所面临的共同挑战,受到世界各国人民和政府的高度关注。2030年前实现碳达峰、2060年前实现碳中和是我国对国际社会的庄严承诺,并已被纳入生态文明建设的总体布局。生态系统碳汇是实现"双碳"目标的重要手段,也是林业和草原实现高质量发展的必然要求。陆地生态系统作为自然界碳循环的重要组成部分,其固碳被认为是减缓大气CO2浓度升高,实现绿色碳汇的重要途径。因此,提高陆地生态系统的固碳能力至关重要。

所谓固碳,也叫碳封存,是指增加除大气之外的碳库碳含量的措施。固碳能够将多余的碳封存起来,不排放到大气中。固碳主要包括物理固碳和生物固碳两种方式。生物固碳是利用植物的光合作用,将CO2转化为碳水化合物,以有机碳的形式固定在植物体内或土壤里。

1 中国植被(A)、土壤(B)及生态系统(C)碳汇

图片来源于(Yang et al.,2022)

目前,我国生态系统固碳能力巨大,其碳汇能力主要来自于我国重要林区,尤其是西南林区的固碳贡献,同时我国东北林区在夏季也有非常强的碳汇作用(Wang et al., 2020)

2 中国碳汇分布

图片来源于(Wang et al., 2020

近些年,已有大量研究对陆地生态系统碳汇进行估算,为区域和尺度的碳汇与碳源核算做出了巨大贡献。其中,傅伯杰老师团队通过将遥感与机器学习相结合的方式估算了2001年到2018年中国植被碳汇。研究结果表明,2001-2018年,中国GPP49.1-53.1Tg C/yr2的速度显著增长。此外,气候变化和人类活动均对GPP增长做出贡献(Chen et al., 2021)

3 气候变化和人类活动对中国植被碳汇的影响

图片来源于(Chen et al., 2021

目前,我们要将生态系统碳汇作为国家生态建设和保护工程的主要目标,有效地提高陆地生态系统碳汇的监测技术与能力。那陆地生态系统的碳汇能力到底有多大?固碳速率有多大?我们怎么才能准确地监测陆地生态系统碳汇?面对这一系列的问题及需求,我们自主研发了一套系统性的解决方案,即陆地生态系统碳汇综合观测系统(TCOS

TCOS系统采用了一系列、立体化的植被监测方案,通过LAINetSpecNetPhotoNetEcoLidar等多种监测设备实现对区域陆地生态系统不同生态参数的观测,以多途径、多线程的方式,反演并估算出生态系统GPP,可精准地完成对陆地生态系统碳汇的动态监测。

TCOS基本架构

4 陆地生态系统碳汇综合观测系统整体架构

底部为观测系统的搭载平台,主要支持地基和塔基观测。上一层为系统的监测设备,主要包括LAINetSpecNetPhotoNetEcoLidar,每个监测设备在监测碳汇时均可输出生态参数,后通过碳汇计算模型,反演出生态系统GPP

TCOS设备组成

LAINetLAINet为全自动植被叶面积指数监测仪,在国内实现了叶面积指数联网观测,突破了国外商业仪器在该领域的垄断地位。它以具有无线数据收发功能的光量子传感器为基础,实现植被透射辐射的实时监测,并基于自主研发的高精度算法,计算得到植被冠层结构信息,如叶面积指数、平均叶倾角、聚集指数及冠层覆盖度等。LAINet由部署在野外的无线传感器网络节点,包括冠层下、上汇聚节点,以及太阳能供电系统组成。主要适用于植被生长状态长时间监测领域,如生态固定站、农业长期观测站等。

5 LAINet设备组成示意图

SpecNetSpecNet为智能高光谱新型联网光谱仪,具有完成反射率计算、光谱曲线预览、波谱特征提取、多种植被指数计算、波谱分析等功能,也具有高光学分辨率、高灵敏度、低杂散光、以及快速光谱反应速度的特点。该设备主要由智能控制器、高光谱传感器模块和光路切换控制器三部分组成。适合野外台站长时间序列自动观测地物光谱反射率,研究植被动态生长变化过程中的反射率特征。

6 SpecNet设备组成及观测场景

PhotoNetPhotoNet物候相机具有精准的多光谱成像技术,既能够获取真彩色高清观测图像,也可以拍摄多光谱图像。PhotoNet具有多种观测模式,用户可以根据植被生长条件以及观测目的,调整设备工作模式,能够获取多种植被参数。主要适用在对植物物候长时间序列自动观测中。通过多角度观测可实现多功能用途,如倾斜观测大场景物候、垂直向下观测农作物长势、垂直向上观测森林郁闭度等。

7 PhotoNet设备示意图

EcoLidarEcoLidar为植被生态多参数激光雷达测量仪。由于激光雷达采用主动光学技术,可以瞬间发射高能量脉冲信号,具有较大的穿透深度,能够探测植被冠层表层以下的信息。激光雷达不仅能够提取植被冠层的生态参数,还可以从点云数据中重建植被三维场景。它主要适用在森林、草地及农田等生态系统长时间序列自动测量中。

8 EcoLidar设备观测流程及数据传输过程


TCOS数据输出

LAINet数据输出

SpecNet数据输出


PhotoNet数据输出

EcoLidar数据输出


陆地生态系统碳汇计算模型

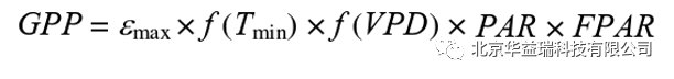
总初级生产力GPP是描述陆地生态系统的重要参数,提供了气候变化下碳循环的定量化描述。GPP是指生态系统中绿色植物单位时间通过光合作用途径固定有机碳的总量(Chapin Iii et al., 2012),决定了进入陆地生态系统的初始能量与物质总量。因此,准确估算GPP对碳循环过程和预测未来气候变化至关重要。

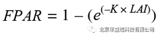
TCOS碳汇的计算是基于光能利用率模型展开的,该方法将陆地植被的固碳作用描述为植被吸收太阳辐射并将其转换成生物量的能力和效率的产物。LUELight Use Efficiency)模型所需要的参数包括光能利用率,植被光合有效辐射和光合有效辐射吸收比率。理论上,GPP与植被吸收的光合有效辐射(APAR)间呈线性相关关系,而APAR是由光合有效辐射(PAR)和光合有效辐射分量(FPAR)相乘的结果,因此,整个光能利用率模型就可以转换为下式的表现形式。而SIF的反演也同样是APAR乘以SIF的光能利用率(LUEs),后推导出基于SIFGPP反演模型。

1、基于SIF估算GPP的光能利用率模型:

2、基于植被指数的光能利用率模型:MODIS-GPP模型

式中,FPAR可通过LAINDVI两种植被指数的经验模型得到

基于LAIFPAR反演:

基于NDVIFPAR反演:

陆地生态系统碳汇综合观测系统的实际应用案例

TCOS整体架构参考

9 TCOS整体架构参考

清原森林生态站TCOS实际应用案例

10 TCOS在清原森林生态站的实际应用案例

TCOS观测场景

11 TCOS主要组成设备在清原森林生态站的安装及观测场景

TCOS多设备联合观测数据示例

12 TCOS主要组成设备联合观测数据示意图

因考虑到森林、草地和农田等生态系统所需观测的参数是不同的,所以我们可以根据用户的具体需求去布设TCOS,从而达到更全、更具针对性的参数监测及获取。同时,我们也会用科学的思维致力于科研设备及监测方案的研发与制作,为科学研究人员提供高精度的仪器设备及技术服务。

主要参考文献

Chapin Iii FS, Matson P, VitousekP, 2012. Principles of Terrestrial Ecosystem Ecology, pp. 369-397.

Chen Y, Feng X, Tian H, et al. Accelerated increase invegetation carbon sequestration in China after 2010: A turning point resultingfrom climate and human interaction. GlobalChange Biology, 2021, 27.

Wang J, Feng L, Palmer P, et al. Large Chinese land carbon sinkestimated from atmospheric carbon dioxide data. Nature, 2020, 586: 720-723.

Yang Y, Shi Y, Sun W, et al. Terrestrial carbon sinks inChina and around the world and their contribution to carbon neutrality.Science China Life Sciences, 2022.

版权与免责声明:
1.凡本网注明"来源:中非贸易网"的所有作品,版权均属于中非贸易网,转载请必须注明中非贸易网。违反者本网将追究相关法律责任。
2.企业发布的公司新闻、技术文章、资料下载等内容,如涉及侵权、违规遭投诉的,一律由发布企业自行承担责任,本网有权删除内容并追溯责任。
3.本网转载并注明自其它来源的作品,目的在于传递更多信息,并不代表本网赞同其观点或证实其内容的真实性,不承担此类作品侵权行为的直接责任及连带责任。其他媒体、网站或个人从本网转载时,必须保留本网注明的作品来源,并自负版权等法律责任。 4.如涉及作品内容、版权等问题,请在作品发表之日起一周内与本网联系。