2025年11月27日 08:04:56 来源:北京华益瑞科技有限公司 >> 进入该公司展台 阅读量:4
原文以“Emerging negative warming impacts on tibetan crop yield”为题发表在Engineering上。
作者:Dorji Tsechoe,朴世龙,汪诗平等。
原文链接:/science/article/pii/S2095809921001569?via%3Dihub
翻译:张临峰
保护西藏以青稞(下图1)为特点的独特历史和文化遗产有赖于藏区农田的健康、可持续经营,然而,气候变化对藏区农田的影响仍然不清楚。在这篇文章中,作者分析了1985年到2015年西藏的农作物产量,发现1980年代至1990年代温度变化对农作物产量的影响为不显著(P>0.10),而在21世纪这种影响则变为了显著(P<0.05)。
图1
作为地球的第三级,西藏高原是地球上海拔高、面积大的高原,它的变暖速度(下图2)是变暖速度的两倍,是气候变化的热点研究地区。

图2.(GST:生长季温度,GSP:生长季降雨量)
西藏高原生活着300万人口,一半人口以农业为生,但西藏的农作物种类结构独特、单一,西藏人民传统的主要食物是青稞,这是一种可以种植在海拔4000米以上的农作物,它占据了西藏大约60%的农作物种植面积、贡献了70%左右的农作物产量。青稞的种植孕育了西藏文化。
过去三十年,西藏的人口和农作物产量都在增加,而近十年,人口增加速度要明显快于农作物产量的增加速度(下图3),这使得粮食的供需平衡日益趋紧。随着范围内气候变暖对农作物产量不利影响的证据越来越多,气候变暖对西藏地区农作物产量的影响也应当受到我们的重视。

图3
在本文中,作者利用1985–2015年西藏农作物产量的数据和历史气候数据,研究了农作物产量与气候之间的关系以及在这段时间内(1985–2015)这种关系的演变。
分析方法:加权法、模型法(使用模型:Institut Pierre–Simon Laplace Coupled Model, version 5, coupled with NEMO, low resolution(IPSL-CM5A-LR))、对时间序列进行去趋势化处理、偏相关分析、选择不同的时间段进行分析、多元回归等方法。
结果1:农作物产量变化主要由温度变化引起。
相关性分析表明农作物产量的年际变化和生长季温度的年际变化呈显著负相关(RY–GST=-0.37,P=0.05)(图4(b))。平均而言,温度升高1℃会导致农作物产量下降0.11t·ha−1。
图4.农作物产量的年际变化(Δy)分别与生长季温度年际变化(ΔGST)、降雨量年际变化(ΔGSP)、太阳辐射年际变化(ΔGSR)的时间序列(a、c、e)及产量年际变化分别与这三个因素的拟合情况(b、d、f)
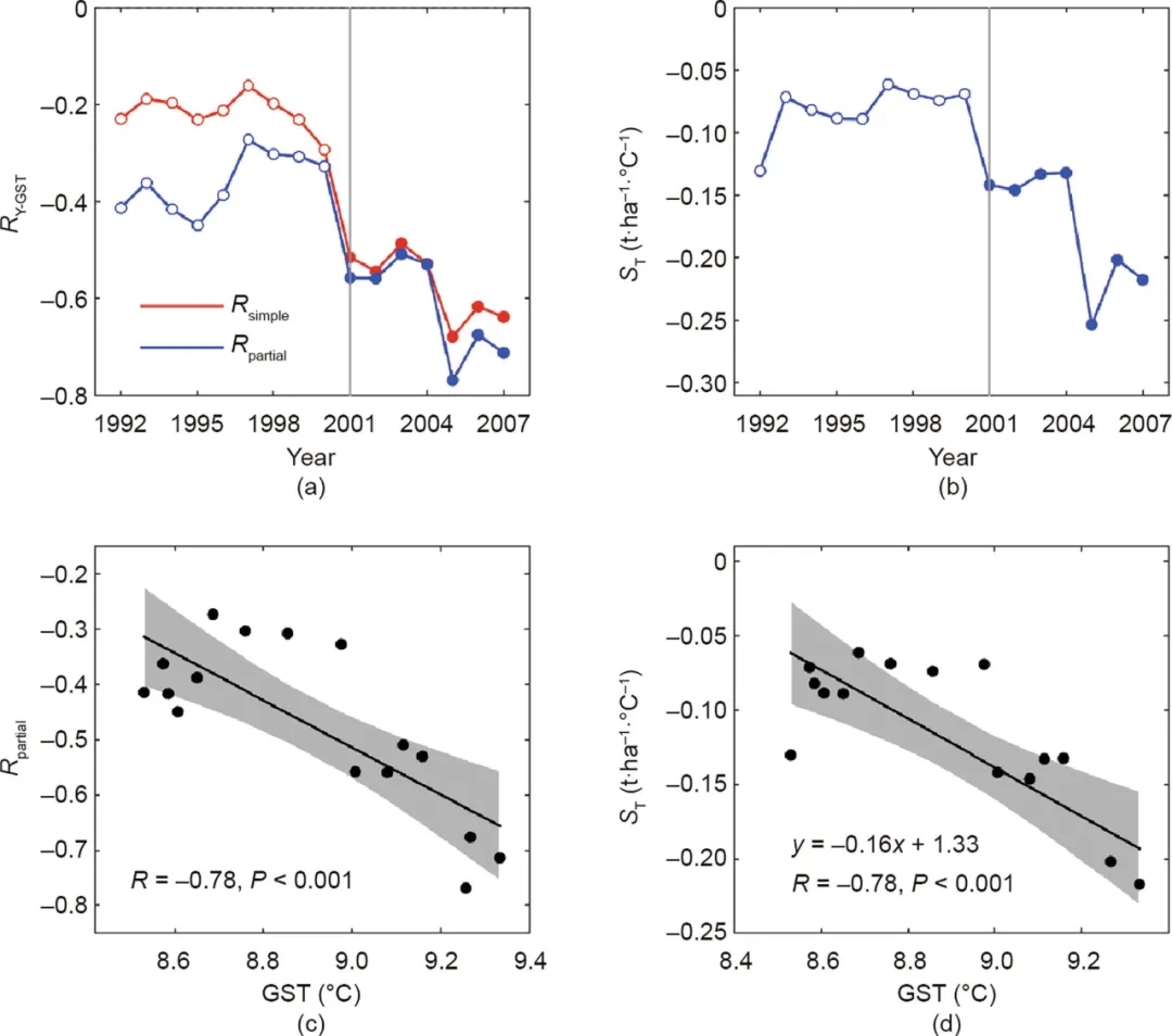
结果2:温度升高似乎对农作物产量的影响越来越大。
作者以15年为一个时间长度进行分析,发现1980s至1990s农作物产量年际变化和生长季温度年际变化的关系在统计学上不显著,而这种关系在2000s则变为显著负相关。
温度升高对农作物产量的影响从前15年的(-0.13±0.07)t·ha-1·℃-1变为后15年的(-0.22±0.06)t·ha-1·℃-1(图5(d))。这一转变应该引起我们的警惕。
图5.农作物产量的年际变化与生长季温度的关系、农作物产量对温度的敏感性(ST)与温度的关系
在讨论中作者分析了温度升高导致农作物产量降低的原因:
1. 温度升高会导致空气的饱和水汽压差变大,进而降低植物叶片的气孔导度、降低植物的光合作用,而后导致农作物产量降低。
2. 西藏地区夏季(七月、八月)白天的温度会超过25℃,然而即使在西藏的低海拔地区,农作物光合作用的合适温度也低于25℃,夏天是青稞生殖、生长的关键时期,这一时期青稞对高温胁迫非常敏感,这表明不断增高的温度可能会导致越来越严重的农作物减产。
然而我们对青稞的生长、生殖所知甚少,未来应当加强对青稞的物候研究、在青稞不同生长阶段进行人工增温实验。
基于以上的研究,作者对未来如果温度进一步升高的结果进行了预测:如果温度比之前升高1.5℃,温度对农作物产量的影响将从目前的(-0.19±0.04)t·ha-1·℃-1上升到(-0.33±0.10)t·ha-1·℃-1,如果温度上升2℃,则进一步上升到(-0.51±0.18)t·ha-1·℃-1。
这意味着即使实现巴黎协定中好的控温目标:将升温控制在1.5℃以内,未来温度对西藏农作物产量的影响将会扩大为过去三十年(1985-2015)的两倍(下图6)。之前的研究可能严重低估了气候变暖对农作物产量的影响。随着升温不断进行,西藏的粮食安全和独特的文化将面临越来越严峻的形势。
图6.不同升温幅度下温度对农作物产量的影响
(左边灰色、右边红区分别代表过去、将来温度对农作物产量的影响;右边红区域的两条黑色竖直线分别代表温度升高1.5℃、2℃时温度所造成的农作物减产范围)