广告招募

当前位置:中非贸易网 > 技术中心 > 所有分类

基于半球摄影法模拟叶面积指数季节变化的经验模型

2025年11月27日 08:11:55      来源:北京华益瑞科技有限公司 >> 进入该公司展台      阅读量:4

分享:

原文以Empirical models for tracing seasonal changes in leaf area index in deciduous broadleaf forests by digital hemispherical photography”为题发表在Forest Ecology and Management上。

作者:Zhili Liu,Chuankuan Wang,Jing M. Chen,Xingchang Wang,Guangze Jin原文地址:/science/article/abs/pii/S0378112715002741

翻译|张临峰

叶面积指数季节变化的准确估计对于估测森林植被的生长至关重要,但快速且可靠地获取叶面积指数的方法却鲜有报道。

在分享的这篇论文中,作者在中国黑龙江帽儿山的落叶阔叶林里(阔叶混交林),通过一种直接的测定方法:植物展叶时期的观测和落叶时期凋落物的收集(4个样地,每个样地5个凋落物收集框)去直接测定叶面积指数的季节变化(图1)。

1.直接法测定的四个样地在每个凋落物收集日收集的所有物种的总叶质量

同时,使用半球摄影法(digital hemispherical photography,DHP,即光学仪器法)去间接测定叶面积指数。

实验的目标是探索测定叶面积指数的直接法和间接法之间的关系,并提出一种快速、可靠的方法来测定叶面积指数的季节变化。

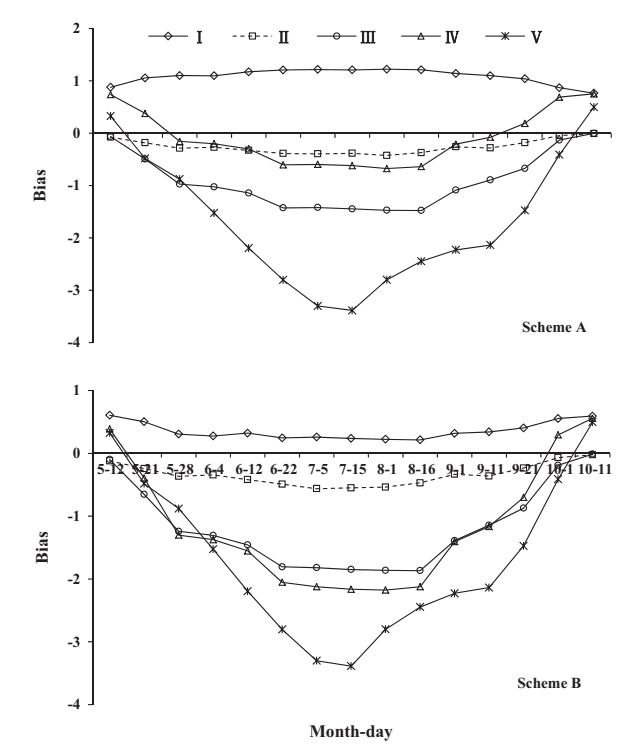
在使用半球摄影法测定叶面积指数的过程中,木质部、集聚效应、自动曝光设置这些关键因素会使测定结果产生偏差(图2),为了实现实验目标,作者首先评估了这些偏差的季节变化。

2.由木质部、集聚效应和自动曝光产生的偏差的季节变化以及直接法、间接法测定的叶面积指数之间的差异。

方案A:计算使用间接法测定叶面积指数时木质部产生的的偏差,其中忽略了木质部对光学仪器的影响所造成的偏差的季节变化;方案B:计算使用间接法测定叶面积指数时木质部产生的的偏差,其中考虑了季节变化。

I:由木质部产生的偏差;II:由集聚效应产生的偏差;III:由自动曝光产生的偏差;IV:由木质部、集聚效应和自动曝光产生的总偏差;V:直接法和间接法之间的差异。

结果显示,以上三个因素产生偏差的季节变化有不同的规律。在生长季,这三个因素可以解释测定叶面积指数的直接法和间接法结果之间差异的72%。

接着,通过线性回归去拟合直接法、间接法每隔10天(5月12日到10月11日,共15个阶段)获得的叶面积指数(图3),此外,进一步将不同方法测定的所有时期的数据分别归为一类,然后对这两类数据进行线性回归(图4)。两次回归都基于线性模型的三种不同方法构建直接法和间接法之间的经验关系。

3.生长季直接法和间接法每隔10天获得的叶面积指数之间的线性拟合

4.直接法和间接法测定的所有时期的数据分别归类后进行的线性回归

综合以上两种方法后,作者又定义了一种聚合模型(aggregatedmodel):先结合5月12日和5月21日的数据构建一个经验模型;对于这两个时期的数据,在95%的显著性水平上进行配对t检验,以确定直接测定的叶面积指数和使用经验模型估计的叶面积指数之间是否存在显著差异;如果5月12日和21日没有显著差异,将结合5月12日、21日和28日的数据,再次进行配对t检验;只要在一个日期(5月12日或5月21日)直接测定的叶面积指数和使用经验模型估计的叶面积指数之间存在显著差异,表明该模型对这两个日期不适用,将结合5月12日和5月28日的数据,并进行配对t检验。以此类推,不停迭代,直到将没有显著差异的数据分为一组,并将那些有显著差异的数据分开。经验模型根据没有显著差异的直接测定的叶面积指数和使用经验模型估计的叶面积指数构建。

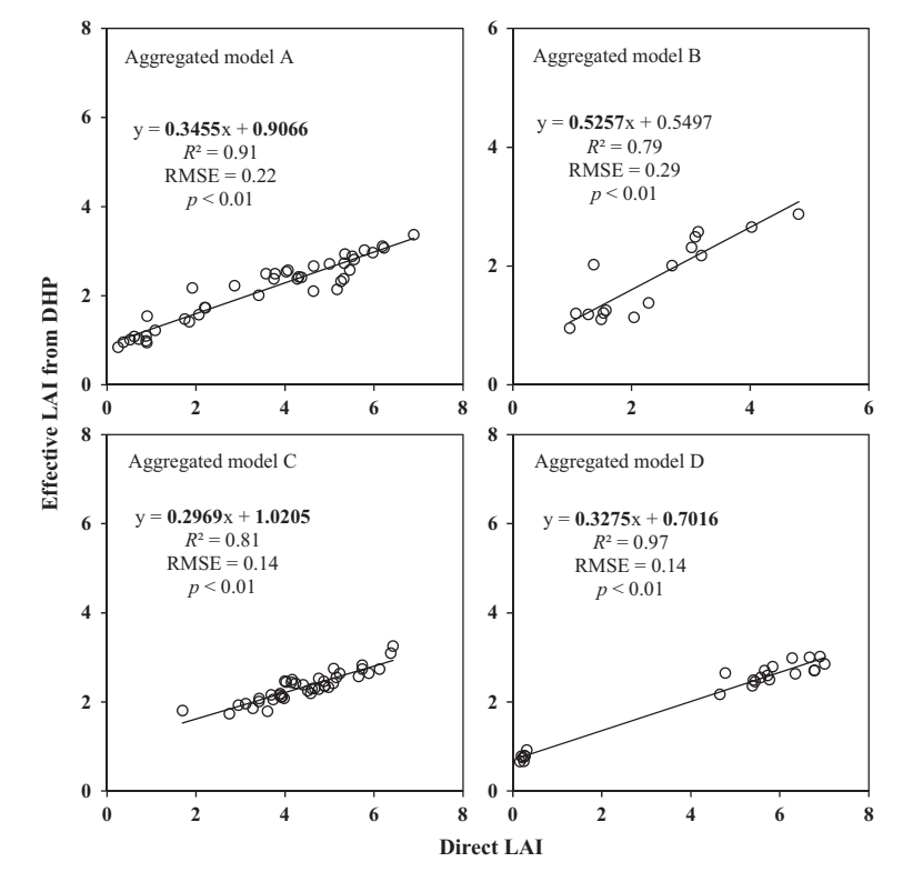
共有四个聚合模型:聚合模型A,包括5月12日和21日、6月4日、8月1日和16日;聚合模型B,包括5月28日和10月1日这两个日期;聚合模型C,包括6月12日和22日、9月1日、11日和21日;聚合模型D,包括7月5日、15日和10月11日。对于四个聚合模型,直接法和间接法的结果显著相关(p < 0.01),聚合模型A、B、C、D的R2和RMSE值分别为0.91和0.22、0.79和0.29、0.81和0.14、0.97和0.14。

直接法测定的叶面积指数和在每个聚合时期使用4个聚合模型估测的叶面积指数没有显著差异(p<0.01)(图5)。

5.直接法和间接法测定的叶面积指数的聚合模型。I:聚合模型A;II:聚合模型B;III:聚合模型C;IV:聚合模型D。

因此,可以确定在落叶阔叶林中,4个聚合模型能够很好地模拟从展叶到落叶期间叶面积指数的季节变化。

6.落叶阔叶林在整个生长季用不同方法测定的叶面积指数的季节动态。同一日期的不同小写字母表示在0.01显著性水平上不同方法测定的叶面积指数之间存在显著差异。

致谢:感谢刘志理老师对翻译的修改

作者简介:刘志理教授

刘志理,男,理学博士,东北林业大学教授,博士生导师;入选中国青年人才托举工程和黑龙江省头雁团队;主要从事叶面积指数的计量研究、植物功能性状的变异及权衡、树木生长机制等森林生态学方面的研究;主持国家自然科学基金面上及青年项目、黑龙江省博士后特别资助项目、黑龙江省及中国博士后科学基金一等资助项目、黑龙江省留学归国基金项目等,以或通讯作者发表论文40篇,其中SCI论文20篇;出版专著1部,获省部级奖项3项;主讲生态学、科技写作、修复生态学等课程;截至目前指导毕业硕士7人,在读硕博15人,国家奖学金获得者5人。

版权与免责声明:
1.凡本网注明"来源:中非贸易网"的所有作品,版权均属于中非贸易网,转载请必须注明中非贸易网。违反者本网将追究相关法律责任。
2.企业发布的公司新闻、技术文章、资料下载等内容,如涉及侵权、违规遭投诉的,一律由发布企业自行承担责任,本网有权删除内容并追溯责任。
3.本网转载并注明自其它来源的作品,目的在于传递更多信息,并不代表本网赞同其观点或证实其内容的真实性,不承担此类作品侵权行为的直接责任及连带责任。其他媒体、网站或个人从本网转载时,必须保留本网注明的作品来源,并自负版权等法律责任。 4.如涉及作品内容、版权等问题,请在作品发表之日起一周内与本网联系。