广告招募

当前位置:中非贸易网 > 技术中心 > 所有分类

袋式除尘器的除尘效率怎么计算

2025年12月12日 09:37:03      来源:泊头市顺诚环保设备有限公司 >> 进入该公司展台      阅读量:6

分享:

袋式除尘器的除尘效率关系式有两种,一种是经理论推导的除尘效率与孤立粉尘捕集体综合捕集效率的计算式,另一种是根据实验数据而建立的半理论半经验的关系式。
式中:C0——通过过滤器后的洁净气体含尘浓度,kg/m3
           Ci——含尘气体的进口浓度,kg/m3
一、通常,过滤除尘器的除尘效率超过99.5%。因此,在选择除尘器时,一般不需计算除尘效率。影响除尘效率的因素主要有以下方面:
运行参数,包括过滤速度、阻力、气体温度、湿度、清灰频率和强度等;
清灰方式,包括机械振打、反向气流、压缩空气脉冲和气环等。
灰尘的性质,包括被过滤粉尘的粒径、惯性力、形状、静电荷、含湿量等,对于有外静电场的过滤除尘器,还要考虑粉尘的比电阻;
织物性质,包括织物原料、纤维和纱线的粗细,织造和毡合方式,织物厚度,空隙率等;
而对粉尘透过率增高,主要有两个方面:
①直通机制,在过滤中粉尘不被阻留而直接通过,尘粒通过时可能绕一条曲折的路线而过,也可能直接通过滤料表面的针孔而过,一般高的过滤速度可使针孔直通量增加;
②渗漏机制,起初被滤料阻留的灰尘,由于清灰后变得松散而被吹过滤袋;或当过滤阻力增大时,一些已被捕集的灰尘又被挤压过去。有一些粉尘则从针孔漏出去。在高滤速或织物受振动时,渗漏可能加重。
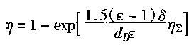
二、当布袋除尘器内所填充的为圆球形捕尘体(颗粒滤料)时,过滤除尘器的除尘效率与单个球形捕尘体的综合捕尘效率关系式为:
式中:η——颗粒过滤除尘器的除尘效率;
          dD——圆球形捕尘体(颗粒滤料)的直径,m;
          η——单一圆球尘体的综合捕尘效率。
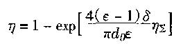
当过滤器内所填充的为与圆柱形纤维捕尘体时,纤维层过滤除尘器的除尘效率与单一纤维捕尘体的综合捕尘效率关系式为:
式中:
          dD——纤维直径,m;
          η——单根纤维的综合捕尘效率。
η——纤维过滤除尘器的除尘效率;
          ε——过滤层空隙率;
          δ——过滤层厚度,m;

更多布袋除尘器方面技术请参阅

版权与免责声明:
1.凡本网注明"来源:中非贸易网"的所有作品,版权均属于中非贸易网,转载请必须注明中非贸易网。违反者本网将追究相关法律责任。
2.企业发布的公司新闻、技术文章、资料下载等内容,如涉及侵权、违规遭投诉的,一律由发布企业自行承担责任,本网有权删除内容并追溯责任。
3.本网转载并注明自其它来源的作品,目的在于传递更多信息,并不代表本网赞同其观点或证实其内容的真实性,不承担此类作品侵权行为的直接责任及连带责任。其他媒体、网站或个人从本网转载时,必须保留本网注明的作品来源,并自负版权等法律责任。 4.如涉及作品内容、版权等问题,请在作品发表之日起一周内与本网联系。