交流阻抗中常相位元件的归一化问题
现代的
电化学工作站通常都会包含多种电化学研究方法,而这些方法对于改进现有产品和开发新产品都具有重大意义。在确定这类产品的主要参数时,电化学工作站中电化学阻抗谱(EIS)研究 方法是重要的技术之一。
交流阻抗谱已经广泛的应用于燃料电池、电池或充电电池、超级电容器、电介质以及防腐涂层等研究领域。在这些研究的体系中,从交流阻抗谱中可以发现类似电容的“能 量储存元件”,从阻抗谱图的理论解释角度看,这类元件的阻抗(ZC)经常用理想的电容(C)来描 述 (见公式(1))。
但是由于样品和电极的一些物理特性导致了“理论电容C”不能充分地模拟出这些实际体系中的阻抗谱图。由于理论解析和实际结果之间存在系统误差,根据这种情况,就引入了用非理想元件来表征非理想电容的元件—常相位元件(CPE)。常相位元件的使用可以正确的来描述或解释这类 “能量储存元件”的电化学阻抗谱中的阻抗特性。
常相位元件(CPE ) 的阻抗计算公式见公式(1)。
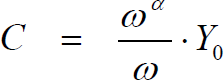
然而,CPE元件的单位取决于指数α的值(见公式1),为了使不同的CPE元件具有可比性,必须将CPE进行归一化处理。设置CPE的阻抗(ZCPE)为角频率ω (=2πf)的函数,并等于一个理想电容的阻抗(ZC),阻抗的相应表达式可总结为公式(1)。

(公式1)

归一化后

(公式2)
我们必须慎重地选择一个适当的归一化频率(f)。从图(1)可直接看出,等效电容值是归一化频率的函数。通常情况下,若没有特别的说明,f=1/2 就作为默认隐含的归一化频率。然而在这样非常低的频率时(f=1/2=0.16Hz)电容的阻抗值不是起主要作用的,这时使用CPE的Yo数值 计算电容时可能会产生比较大的误差。
在选定归一化频率时,CPE必须是在此频率的阻抗谱图中起主要作用的元件,否则就可能造成使用其他占主导作用元件来计算CPE的等效电容值,从而就会产生计算结果误差。
根据经验起主导作用的电容特性通常是在较高的频率范围内,所以设置f=1000Hz作为标准的归一化频率便可以得到更佳的近似结果。

图1 不同指数a时,从CPE Y0计算出的等效电容值随频率的变化
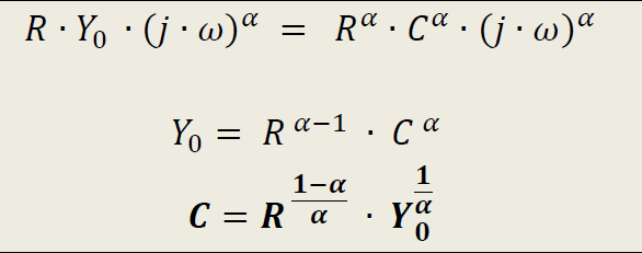
考虑CPE元件与一个电阻并联情况下,交流阻抗用公式(3)表达,公式(3)中的χ可以用不同的方式来表达(见表1)
(公式3)
| | 简单RC并联 | Cole-Cole-type | CPE (Y0)-type |
| Χ的表达方式 | RC(jω) | α (RCjω) | α R·Y0 (jω) |
表1:公式3中 X的不同情况下的表达方式
因此,根据CPE的Y0与电阻R并联的两个表达方式,可以得出不受角频率ω影响的等效电容的表达式。

这个公式有时被叫做DeBrug-formula,能够从电阻和CPE元件并联等效电路中计算出等效电 容值。除了这种二个元件并联等效电路外,Randle等效电路也可得到相同的公式来计算电容值。 有关详细描述,请参考在本文末尾处Hirschorn参考文献。