2026年01月01日 09:11:18 来源:深圳市晶诺威科技有限公司 >> 进入该公司展台 阅读量:11
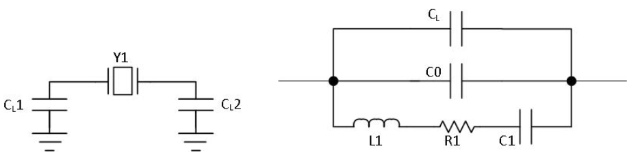
RTC晶振的频率会受到其外接电容的影响。皮尔斯振荡器是RTC内部的RTC振荡器电路。它通常由RTC晶振,逆变器和外接电容组成。

(RTC内部装有一个振荡器电路)
由RTC晶振和外接电容组成的等效电路如下图所示

(基于RTC晶振和外接电容的等效电路)
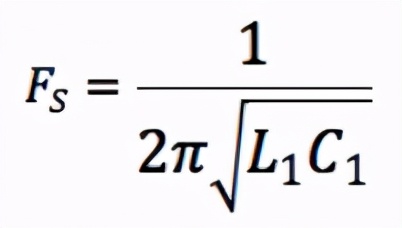
在所示的电路中,RCL串联电路与C0和CL并联谐振。振荡频率公式如下:

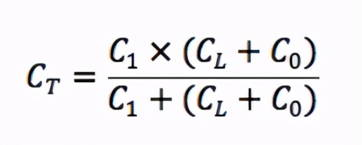
(振荡频率方程)
其中,R1,C1和L1是RTC晶振参数,C0是RTC晶振引脚之间的电容,FL是具有总有效电容的振荡频率,CT是总有效电容,C1与(CL + C0)串联
CT是整体有效电容方程

FS是RTC晶振的串联谐振频率

由于C0 + CL远大于C1,因此FL公式可以近似为

FL相对于CL的导数表示相对于外接电容,以Hz为单位的频率变化。用串联频率除以计算每单位电容频率的变化率。该公式显示了各种外接电容值CL时的频率灵敏度:

仅当CL接近指定的外接电容值时,该公式才是一个很好的近似值。如果外接电容偏离规定值太多,则RTC振荡电路可能无法正常工作,因为RTC晶振和负载电容无法产生180度相移回到输入端。