2026年01月03日 09:05:18 来源:深圳市晶诺威科技有限公司 >> 进入该公司展台 阅读量:16
关于晶振振荡电路设计注意事项归纳如下:
在正确的振荡线路匹配下, 从振荡线路输出的频率, 称之为标称频率(nominal frequency)。 频率单位一般是以兆赫( MHz) 或千赫( KHz)表示。
实际的批量生产及振荡线路应用上, 晶振产品在室温环境(25℃)中都会有一些相对于中心频率的频率散布误差。 这类型的频率容许误差的散布值,一般是以ppm ( parts per million )来表示。
在AT切割角度的石英晶振主要是以厚度剪切振荡模态存在。 石英晶体在共振时, 除了基本波振荡之外, 高阶的倍频共振也与基本波振荡同时存在于石英晶体的电极区域之间。 但是, 由于压电材料的电极是电气相位相反的振动环境, 所以, 只有奇数倍的高频倍频可以发生, 偶数倍的倍频共振在石英晶片不会存在。

基频与泛音
振荡线路上的”负载电容(load capacitance)”定义为:从石英晶片的两个端子看向振荡线路所遭遇到的所有电容值。负载电容在线路上可以与石英晶片以并联(parallel)或以串联(series)的方示连接。 以并联方式连接的振荡线路中, 负载电容(CL)的大小会影响公称频率的特性。 这种负载电容并联线路的共振频率以 fL 表示(图3)。
![]()
石英频率因温度变化而改变, 这是因起于石英材料在各个坐标轴向的热膨胀系数不同, 当温度变化时, 各轴向晶格距产生些许变化。 当引用不同的切割角度时, 不同振荡模态的之变化也会不同。
以AT切割角度的厚度剪切振荡模态的设计, 一般是采用25℃作为参考温度点的频率来定义在工作环境温度范围内的频率变动的稳定性。 在定义这项频率对温度稳定性参数的同时, 也应该一同规范出相对应的工作环境温度范围(Operation Tempera-ture Range)。
石英晶振频率对温度稳定性的特性, 亦如同公称频率误差一样, 是以ppm为计量单位。晶振的频率温度特性曲线与石英的切割角度, 振荡模态, 表面处理及外型尺寸都有很大的关系。 除此之外, 振荡线路上的负载电容(CL), 驱动功率(drive level)的特性, 也会影响到振荡线路输出频率对温度变化的稳定性。
当石英晶体串联振荡在fs时, C1及L1是相反相位而互相抵消, 整个石英晶片的动态支臂(motional arm) 的导纳(admittance)是接近最小阻抗值R1。 这时候整个石英晶片的表现仅是一个电阻性的组件. 电阻值R1是整个组件的机械性能量损耗, 其中包含了石英材料, 接着材料及封装材料上所有的能量损耗。
动态电容C1及动态电感L1与串联偕振频率fs是相互关联的。在实际的量测系统中, 我们只能量测到动态电容C1及串联协振频率fs。动态电感L1是由以下公式(图4)计算得到:

静态电容Co 主要来自由以石英晶片为介电材料与两个电极所形成的电容为主; 另外一小部份的静态电容来自连接石英晶片与接线的导电接着材料之间的电容和封装外壳的电容。 静态电容是在远低于振荡频率的范围量测出来的, 以避免在受到振荡频率附近的动态电容影响。以下公式(图5)是静态电容的数学表示式:
![]()
A 代表电极的面积; d代表石英芯片的厚度; ε是石英芯片的相对应介电值; Cm+p是其它由材料产生的电容值。
石英晶体的驱动功率是指晶振的消耗功率, 一般是以微瓦(microwatt)表示。
振荡线路的设计上必须提供适当的功率让石英晶体共振子开始起振并维持振荡。 石英晶体的振荡是属于物理上的高频机械振动, 振荡时的电气阻抗值约在10~100欧姆以下( 依频率范围及尺寸大小有差异)。
振荡线路若提供过高的驱动功率, 会使石英晶体的非线性特性变化及石英/电极/接着材料的接口恶化, 进而造成振荡频率FL及等效阻抗R1的过度变化。 石英晶体在长时期的过高驱动功率下工作, 会有不稳定的现象。
随着各类应用方面的低消耗功率需求及产品小形化趋势, 加上近几年石英产品的技术大幅提升, 石英晶振的电气阻抗值整体都下降而且稳定。 振荡线路的设计不需要,也不应该提供过高的驱动能量在石英晶振上面。 对于绝大部份的应用面而言, 振荡线路提供10 ~ 100 微瓦(microwatt)的功率(视石英晶片的尺寸及频率而定)给石英晶振已足够。
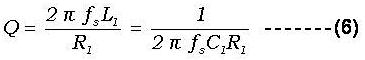
对于石英晶振而言, 品质因素Q是其很重要的一个特性,其级别可以达到数佰万以上。 品质因数可以用下列公式(图6)表示:
