2026年01月04日 08:13:36 来源:深圳市晶诺威科技有限公司 >> 进入该公司展台 阅读量:14
晶体振荡器
晶体振荡器的原理取决于压电效应。晶体的自然形状是六角形的。当晶体晶圆的曲线垂直于X轴时,它被称为X-cut,当它沿着Y轴切割时,它被称为Y-cut。晶体振荡器中使用的晶体具有称为压电特性的特性。
压电效应
当在晶体的一个面上施加机械应力时,在晶体的相反面上产生电位差。相反,当在其中一个面上施加电位差时,会沿着其它面产生机械应力。这被称为压电效应。石英是的压电晶体,因为它价格低廉且在自然界中很容易获得。
当压电晶体受到适当的交变电位时,它会机械振动。当交变电压的频率等于晶体的固有频率时,机械振动的振幅变为。
石英晶体的工作原理
为了使晶体在电路中工作,晶体以电容器的形式放置在两个金属板之间,石英是的晶体类型。

如果施加交流电压,晶体开始以施加电压的频率振动。但是,如果施加电压的频率等于晶体的固有频率,则会发生谐振,晶体振动达到值,这个固有频率几乎是恒定的。
晶体的等效电路
如果我们试图用等效电路来表示晶体,我们必须考虑两种情况,即:它何时振动,何时不振动。

(晶体符号和等效电路)
上述等效电路由串联R-L-C电路和电容Cm并联组成。当安装在交流电源两端的晶体不振动时,它相当于电容Cm。当晶体振动时,它就像一个调谐的R-L-C电路。
晶体振荡电路
晶体振荡电路可以通过多种方式构建,但皮尔斯振荡电路是的一种。如下图所示:

在该电路中,晶体作为串联元件连接在从集电极到基极的反馈通路中。电阻器 R1 , R2 和 RE 提供了一个分压稳定的直流偏置电路。电容器 CE 提供发射极电阻和 RFC (射频扼流圈)的交流旁路。线圈提供直流偏置,同时去耦电源线上的任何交流信号,以影响输出信号。耦合电容器 C 在电路工作频率下的阻抗可以忽略不计。但它能阻断采集器和基站之间的任何直流电。
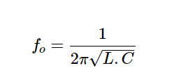
振荡的电路频率由晶体的串联谐振频率设定,其值由以下关系式给出:

可以注意到:电源电压、晶体管器件参数等的变化对电路工作频率没有影响,电路工作频率稳定性主要取决于晶体本身的稳定程度。
皮尔斯振荡器仿真电路图

拓展阅读:如何有效提升晶振的抗干扰能力可以采取以下措施
在实际应用中,晶振作为频率控制元件,其稳定性和准确性至关重要。然而,晶振容易受到电磁干扰、射频干扰以及电源噪声等外部因素的影响,导致其频率稳定性下降。为了确保晶振的频率稳定性,必须采取有效的抗干扰措施。
晶振受到的干扰主要包括电磁干扰、射频干扰和电源噪声。电磁干扰是由外部电磁场或其他设备产生的辐射或噪声引起的,可能导致晶振工作异常或信号失真。射频干扰主要由无线通信设备、雷达、Wi-Fi路由器、手机等产生的射频信号造成,通过辐射或耦合进入晶振电路,影响其正常的振荡和频率输出。电源噪声是由电源的不稳定性或其他设备的干扰产生的,通过电源线路传导到晶振电路中,影响晶振稳定的频率输出。
为了提升晶振的抗干扰能力,可以采取以下措施:
1、选择合适的晶振型号:低相位噪声、低电磁干扰和低射频干扰晶振是提升抗干扰能力的关键。这些晶振型号具有较低的相位噪声和电磁干扰,能够更好地抵抗外部干扰。
2、使用晶体滤波器:晶体滤波器能够有效抑制高频噪声,降低干扰对晶振的影响。通过选择合适的滤波器,可以滤除干扰信号,提高晶振的频率稳定性。
3、采用金属屏蔽外壳:金属屏蔽外壳可以防止电磁辐射进入晶振电路,提高抗干扰性能。通过将晶振封装在金属外壳中,可以减少外部电磁干扰对晶振的影响。
4、优化电路设计:合理的PCB布局能够有效降低干扰耦合,减少外部信号对晶振的影响。尽量减少长引线和高频噪声路径,避免信号反射和干扰。通过优化电路设计,可以降低干扰对晶振的影响,提高其频率稳定性。
5、去耦与稳压:在电源输入端加入去耦电容,以减少电源波动和噪声干扰。同时使用稳压电路,确保晶振获得稳定的电源供给,避免电压波动影响其频率稳定性。通过去耦和稳压措施,可以降低电源噪声对晶振的影响,提高其频率稳定性。
6、应用软件抗干扰技术:通过数字滤波算法进一步降低噪声干扰的影响。对采集到的信号进行数字处理,软件滤波器可以消除外部干扰,提高信号的纯净度和稳定性。通过应用软件抗干扰技术,可以进一步降低干扰对晶振的影响,提高其频率稳定性。
综上所述,晶振的抗干扰技术对于确保其频率稳定性至关重要。通过选择合适的晶振型号、使用晶体滤波器、采用金属屏蔽外壳、优化电路设计、去耦与稳压以及应用软件抗干扰技术,可以有效地抵抗电磁干扰、射频干扰和电源噪声的影响,提高晶振的频率稳定性。