2026年01月04日 08:20:07 来源:深圳市晶诺威科技有限公司 >> 进入该公司展台 阅读量:2
晶体振荡器振荡电路的重要作用介绍如下:
振荡电路由LC网络、RC电路或石英晶体等组成。在下图中,谐振电路电路由电感器和电容的并联连接表示:

在开关打开的情况下,电路的操作将不会继续。但是一旦开关关闭,电路就开始运行。当开关关闭时,电路中的电容器开始放电。由于带电电容器放电,电子开始通过电路移动。电子流在电路中产生电流,但方向与电子的运动方向恰恰相反。
由于电流通过电感器(注意磁链),这导致在电感器附近产生磁场,从而将电能/能量作为磁场存储在电感器中。这种存储在电感器中的能量会产生电动势。正因为电动势的作用,电流将再次开始流过电路。因此电荷将流动,电容器最终将充电并以静电场的形式保持能量。电容器和电感器的这种交替充电和放电将产生连续振荡。这里需要注意的是,电路会产生阻尼振荡。下图显示了阻尼振荡时的波形:

由于产生电动势,电流将再次开始流过电路。因此电荷将运动,电容器最终将充电并以静电场的形式保持能量。电容器和电感器的这种交替充电和放电将产生。在这里我们可以看到正弦振荡的振幅不相等。这是由于电感器和电容器中存在损耗。下图显示了无阻尼振荡的波形:

振荡器电路的频率也被称为谐振频率。它基本上被定义为振荡频率。通常情况下,振荡器最初设置的特定频率在整个振荡周期中不会保持。这是由于这些电阻器、电感器和电容器会随着电路温度的升高而变化。
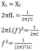
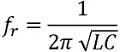
因此,振荡器的谐振频率存在一个公式:
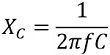
我们知道
![]()
和
![]()
为了产生共振

调谐LC电路谐振频率的表达式
![]()
振荡器广泛用于诸多电路中,如幅度和频率调制电路,超外差接收器等,而振荡器的关键作用就是用于产生时钟信号。