2026年01月04日 09:24:34 来源:深圳市晶诺威科技有限公司 >> 进入该公司展台 阅读量:9

How can I determine frequency error and frequency measurement or generation accuracy?
如何确定频率误差及频率测量或实际生成的频率精度?晶诺威科技解释如下:
Solution解决方案
频率精度(有时称为定时精度)通常以采样率的百万分之一(ppm)给出。此值取决于您正在使用的设备,可以在设备规格书参数中找到。另外,您还可以通过以下公式计算得出:
1、Measured frequency (fm) = signal frequency (fs) ± frequency error (fe).
![]()
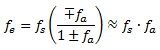
2、Frequency error (fe) = signal frequency (fs) * frequency accuracy (fa).

举例:
1、假设您正在测量精度为 100kHz 正弦波(Sine Wave),使用频率精度为±25 ppm 的设备。频率误差将为 100,000Hz * 25/1,000,000 = 2.5Hz,因此频率精度为100kHz±2.5Hz。
2、假设您正在使用频率精度为±50 ppm 的设备生成 1kHz正弦波。频率误差为 1000Hz * 50/1,000,000 = 50mHz,因此频率精度为1kHz±50mHz。