2026年01月05日 08:44:08 来源:上海腾钻精密仪器有限公司 >> 进入该公司展台 阅读量:2
同步带的优点之一是其能够以比 V 型带同类产品更低的张力运行。一旦确定并施加适当的张力,同步带很少需要重新张紧。但同步带传动系统中的张力不当(太低或太高)可能会导致皮带和皮带轮之间的啮合**、皮带棘轮,甚至负载和加速能力降低。
同步带驱动系统的适当张力值取决于应用 - 考虑诸如移动负载所需的驱动扭矩、带的加速/减速以及行进方向(水平、垂直或倾斜)等因素。 )。制造商提供皮带张力的指南或建议“起始值”,但通常建议进行实际测试以确定特定应用的张力要求。为此,皮带应用通常可分为:
运动传递:在这些应用中,皮带和滑轮上的扭矩负载相对较轻,张力相应较低。运动传输应用中皮带张力的主要目的是确保皮带与皮带轮相符并正确啮合。
动力传输: 对于一般动力传输,负载往往是可变的,皮带会经历恒定负载和峰值负载。因此,动力传输应用往往需要更高的皮带张力,以确保皮带与皮带轮保持适当的啮合,并防止皮带在峰值负载下出现棘轮效应。
配准:当皮带主要用于定位(配准)时,目标是通过减少间隙来确保皮带和皮带轮驱动的*大精度。无论负载是轻还是重,通常需要更高的张力来增加皮带的拉伸模量并增加与皮带轮的啮合干涉。

一旦确定了合适的张力值,就可以通过多种方法测量实际张力。一种常见的方法是测量皮带周围空气中由于振动而产生的扰动。
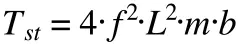
与吉他弦类似,同步带在被“拨动”时会以其共振频率振动,而振动频率与皮带的张力直接相关。声波(也称为声学)张力计感测并记录皮带被拉动或轻敲时的振动。然后根据该振动频率、振动带跨度的长度和皮带的质量计算张力。
声波计确定皮带的振动频率,可用于计算皮带上的张力大小。


T st = 静张力 (N)
f = 振动频率 (Hz)
L=振动跨度长度(m)
m = 单位长度和宽度的带质量 (kg /m 2 )
b = 带宽(米)
还可以通过用指定的力使皮带偏转给定量(通常为每英寸皮带跨度 1/64 英寸,或每 25 毫米皮带跨度 0.4 毫米)来测量或估算皮带张力。通常称为力-偏转法,对于给定张力产生指定偏转所需的*小和*大力通过公式计算。请注意,此方法*适用于跨度较长的皮带。

在力-偏转方法中,使用指定的力在皮带中产生给定的偏转。


F = 产生指定偏转的力 (N)
T st = 静张力 (N)
t = 皮带跨距长度 (m)
L = 皮带节距长度(米)
Y = 基于皮带的张紧常数(由制造商提供)
当皮带系统使用简单的双皮带轮配置时,皮带轮轴之间的距离与皮带上的张力直接相关,因此可以使用该距离来确定皮带张力。这种方法通常称为轴分离法。但请注意,如果皮带轮具有不同的直径,则需要将皮带跨度添加为矢量以确定*终的张力。
皮带轮轴之间的距离可用于估计皮带张力。
与轴分离方法类似,可以通过惰轮的位置在皮带上产生张力。在此方法中,向惰轮施加力,使其移动。弹簧或测力装置会指示皮带轮的位置何时提供所需的皮带张力。一旦确定滑轮位置,就将其固定到位以确保维持张力。与轴分离方法一样,如果系统中使用两个以上的皮带轮,惰轮张紧方法可能需要皮带跨度的矢量求和。
在许多情况下,力-偏转法是*不准确的,因为它很难测量小偏转,而且即使对于较长的跨度(和较大的偏转值),测量偏转的过程也可能很麻烦。轴分离和惰轮方法通常更准确,但需要对具有多个皮带轮和皮带跨度的系统进行矢量计算。
声波张力测量设备使用简单,但环境噪音会影响其准确性。为了解决这个问题,贤科茗皮带张力计U-508包含增益调节器或软件,使设备能够“消除”环境噪声并提供**度为 ±1% 的张力测量值。
