2026年01月10日 08:58:36 来源:北京博米科技有限公司 >> 进入该公司展台 阅读量:2
图像质量评价基本知识(二)(主观评价方法)
国际上已有成熟的主观评价技术和国际标准,例如 ITU-T Rec. P.910规定了多媒体应用的主观评价方法;ITU-R BT.500-11规定了电视图像的主观评价方法,就视频质量主观评价过程中的测试序列、人员、距离以及环境做了详细规定。主观质量评分法(MOS:Mean Opinion Score)是图像具代表性的主观评价方法,它通过对观察者的评分归一化来判断图像质量。而主观质量评分法又可以分为评价和相对评价两种类型。
评价是将图像直接按照视觉感受分级评分,表 1.1 列出了国际上规定的 5 级尺度,包括质量尺度和妨碍尺度。对一般人来讲,多采用质量尺度;对专业人员来讲,则多采用妨碍尺度。

相对评价是由观察者将一批图像从好到坏进行分类,将它们相互比较得出好坏,并给出相应的评分。相对尺度如表 1.2 所示。

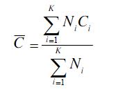
评价的结果可用一定数量的观察者给出的平均分数求得。平均分数按照公式计算得到:

式中,Ci 为图像属于第 i 类的分数,Ni 为判定该图像属于第i类的观察者人数。为了保证图像主观评价在统计上有意义,参加评分的观察者至少应有 20 名,其中包括一般观察者和专业人员。
图像质量的主观评价方法的优点是能够真实的反映图像的直观质量,评价结果可靠,无技术障碍。但是主观评价方法也有很多缺点,如需要对图像进行多次重复实验,无法应用数学模型对其进行描述,从工程应用的角度看,耗时多、费用高,难以实现实时的质量评价。在实际应用中,主观评价结果还会受观察者的知识背景、观测动机、观测环境等因素的影响。此外,主观质量评价无法应用于所有场合,如需要进行实时图像质量评价的领域。