2026年01月10日 09:14:07 来源:北京博米科技有限公司 >> 进入该公司展台 阅读量:19
GB 15084-2022《机动车辆间接视野装置性能和安装要求》标准解读(一)
本标准规定M和N类以及至少驾驶室被部分封闭的L类机动车辆的间接视野装置的性能和安装要求。
本标准适用于M和N类及至少驾驶室被部分封闭的L类机动车辆的间接视野装置。
下列文件对于本文件的应用是的。凡是注日期的引用文件,仅所注日期的版本适用于本文件。凡是不注日期的引用文件,其版本(包括所有的修改单)适用于本文件。
下列术语和定义适用于本文件。
用来看清车辆后方、侧方或前方视野的装置,可包括传统的光学视镜、摄像机-监视器系统或其他能够向驾驶员提供间接视野信息的装置。
通过反射面,在规定的视野内看清车辆后方、侧方或前方视野的装置,不包含潜望镜之类的装置。
安装在乘员舱内部的视镜。
安装在车辆外部的视镜。
不同于3.2规定,可以安装在车辆内部或者外部,提供不同于6.5规定的视野的视镜。
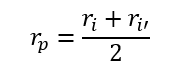
r是指用附录C规定的方法在反射面上测得的曲率半径的平均值。
ri 是指用附录C规定的仪器,通过反射面中心,并平行于视镜b线段(见4.1.2.1.2)或垂直于该线段方向上测得的曲率半径。
rp基本曲率半径的算术平均值。见式(1):

在所有方向上的半径都相等且恒定不变的表面。
仅在一个平面上有恒定半径的表面。
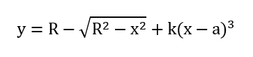
包括球形表面和非球形表面的镜面,并且反射面在由球形表面向非球形表面过渡时需标出。镜面的主轴的曲率在XY坐标系中由球形部分主拱顶的半径通过下面的公式(2)确定。
式(2):

R: 球形部分的标称半径;
k:曲线变化常数;
a:球面主拱顶球面尺寸常数。
反射面可见区域的几何中心。
形状视镜组成部件某一部位曲线形状的圆弧的半径。
CMS:通过摄像机与监视器组成的系统,在规定视野内看清车辆后方、侧方或前方视野的间接视野装置,以下简称CMS。
通过镜头和感光电子器件将外部世界的影像转变为视频信号的装置。
将视频信号转变为可见光光谱影像的装置。
在3.1中定义的,不通过视镜或者摄像机-监视器系统获取视野的装置。
能够让驾驶员看见或者发现车辆周围物体的装置。
物体与其紧邻背景/环境的亮度比值,可将物体从其背景/环境中区分出来。
可被感知系统识别的最小细节,即从大的整体中分辨出来。人眼的分辨率称为视觉灵敏度。
高为0.5 m,直径为0.3 m的圆柱体。
人眼在各种条件下一般能达到的视觉水平。
借助间接视野装置,可以观察到三维空间的范围。它基于装置所提供的地面视图,并且可以在装置适用发现距离的基础上予以限定。
从摄像机镜头中心到临界物体被探测到的最远点之间的距离(刚刚达到临界视觉的限值)。
波长位于人眼视觉限值范围内的光,即波长380 nm-780 nm。
太阳光或其他高亮光源照射摄像头上时显示在监视器上的亮条。
Ⅰ类CMS装置,监视器安装在一个半透明的Ⅰ类视镜上,监视器在CMS模式下是可见的。
在以下主要特征上没有差别的装置:
—— 装置(如果相关,包括装置与车身的连接件)的设计;
—— 对于视镜而言,类型、形状、尺寸以及反射面的曲率半径;
—— 对于摄像机-监视器系统而言,类别、视野、放大倍数和分辨率。
一种由摄像机和监视器或记录设备组成的装置,不同于3.14定义的摄像机-监视器系统。它可以被安装在车内或车外,以提供不同于6.5所规定的视野,或者提供车内或车辆周围的安防系统。
所有的装置具有一种或多种共同特征或功能,可以分为以下几类:
Ⅰ类:内后视野装置,在6.5.1中规定了其视野。
Ⅱ、Ⅲ类:主外后视野装置,在6.5.2、6.5.3中规定了其视野。
Ⅳ类:广角外视野装置,在6.5.4中规定了其视野。
Ⅴ类:补盲外视野装置,在6.5.5中规定了其视野。
Ⅵ类:前视野装置,在6.5.6中规定了其视野。
Ⅶ类:至少驾驶室被部分封闭的L类机动车辆的视镜,在6.5.7中规定了其视野。
PLSDF:基于亮度和监视器上显示的点光源水平和垂直方向尺寸,对一对点光源的区分水平。
PLSCF:基于水平方向上亮度曲线的亮度与最小亮度之间的亮度差,对一对点光源的区分水平。
通过汽车制造厂设计确定的驾驶员乘坐位置中心,作一平行于车辆纵向基准面的平面。从该平面内的驾驶员座椅R点向上635 mm,作垂直于该平面的一条直线段。在直线段与该平面交点的两侧各32.5 mm处(总距离65 mm)作两个点。这两个点分别是驾驶员的左眼和右眼的中心点。
左眼视野与右眼视野叠加在一起得到的总视野,如图1中D区域所示。

图1 双眼总视野
在下列基本特征方面相同的机动车辆:
—— 间接视野装置的类别;
—— 导致减小视野范围的车身特征;
—— 驾驶员座椅的R点坐标;
—— 强制安装和选装间接视野装置(若已安装)的安装位置和认证标志。
发动机全长的50%以上位于风窗玻璃基座前端最远点的驾驶室内,并且转向盘毂也位于车辆总长的前1/4内。
驾驶员两眼点之间的中点。
※ 更多标准可添加微信号:Zz--oTingY 获取

※ 也可扫码咨询CMS测试方案