2026年01月19日 09:00:05 来源:新乡市百盛机械有限公司 >> 进入该公司展台 阅读量:1
电磁振动机械广泛地应用于冶金、矿山、煤炭、化工和轻工部门,如电磁振动给料机、输送机、
电磁振动筛及振动落砂机等。它们的特点是:在电气上应用了振动着的电磁铁,而在力学上,
它利用了共振的工作状态。因而正确的设计与计算是极为重要的。
电磁式振动机械的激振力即是电磁铁铁芯与衔铁之间的吸力,而铁芯与衔铁之间存在一定气隙,
而且气隙随着振动而改变。目前供电方式,有单向整流器整流、可控单向整流器整流、降频可控单
向整流器整流及整流逆变馈电等。
激振力的分析
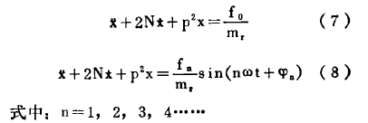
一台振动机械,在力学上可以简化为二阶常系数方程式:

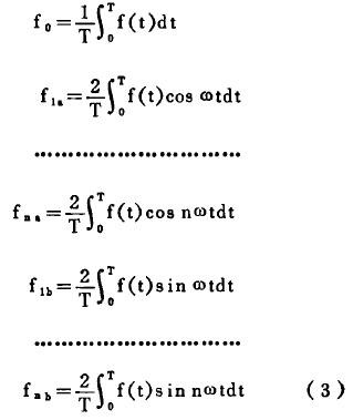
一般振动系统的内力,即电磁铁吸力是周期性的力,如其周期为T,则T=(2π)/ω,ω为作用力基波园频率。由于作用力是周期性的力,可以用福氏级数展开:
F(t)=f0+f1acosωt+f2acos2ωt+··· ···+ f1bsinωt+f2asin2ωt+··· ···(2)式中
:
显然上式可以表达成
F(t)=f0+f1asin(ωt+φ1)+f2asin(2ωt+φ2)+··· ···+ f1bsin(nωt+φ2)
式中

这样方程式(1)就可以写成下式:


