2026年01月28日 09:01:22 来源:奥赛罗密封材料(中国)有限责任公司 >> 进入该公司展台 阅读量:8
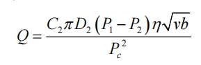
水泵设备中采用技术,其应用效果取决于多方面因素。如在实际的工作中缺乏过程控制,极易导致密封失效,干扰水泵的运行状态。因此,针对水泵的机械密封,应重点关注密封失效现象,利用迈尔泄漏量公式:

式中, C2 、 D2 、 P1、 P2 、η 、 v 、 b 、 Pc 分别为流动系数、密封环接触端面外径、介质压力、外界压力、介质黏度、摩擦面宽度、摩擦端面平均线速度、端面比压。生产作业中如水泵高效运行,机械密封处摩擦副和对应的粗糙度持续波动。
通过上述公式展开分析,可以发现,在这些变化下水泵泄漏量在不同时间段的大小不一。另外,泄漏量由许多因素决定,主要为与密封环接触端面相关的外径、介质压力、外界压力等参数。因此,为了得到水泵的泄漏量,有关人员在计算时需掌握水泵的运行状态、机械密封特点。
网站