2026年03月16日 14:49:34 来源:刚瑞(上海)商务信息咨询有限公司 >> 进入该公司展台 阅读量:1
简介
近年来,大量研究涌入超级电容器领域。超级电容器具有充放电率高,循环寿命长,操作温度宽泛,并且低单次循环成本等优点。
电化学石英晶体微天平(EQCM)是一种与恒电位仪连接使用的石英晶体微天平(QCM),其石英晶体的一面被用作工作电极。关于石英晶体微天平这项技术的更多介绍性解释,请参阅本应用指南。
Gamry 已经提供了其它三份应用指南用于详细介绍超级电容器的表征。这些应用指南部分均可以在
Gamry 网站找到。
超级电容器测试:部分—CV,EIS 和渗漏电流
超级电容器测试:第二部分—CCD 和堆栈
超级电容器测试:第三部分—电化学阻抗谱
本应用指南的重点在于表征构建超级电容器的材料。镀有10-MHz Au 的石英晶体上涂覆有由20mg 碳粉,5%聚偏二氟乙烯粘接剂以及1ml N-甲基吡咯烷酮溶剂配制而成碳粉悬浊液1μL。该溶液滴涂在晶体上并在烘箱中干燥。本章中采用了三种不同孔径大小的碳粉进行实验。该晶体装入Teflon 静态电池,并与Gamry eQCM10MTM 连接。通过连接eQCM 10M 前面的工作电极,实现Gamry Reference 600TM 与QCM 的联用。实验数据通过Gamry ResonatorTM 进行采集,利用Echem AnalystTM进行分析。电解质溶液为1M CsCl 水溶液。对电极为铂线,所有电极电势都相对于Ag/AgCl(饱和KCl)参比电极。
1号碳材料
高比表面材料上5次循环伏安如图1所示。伏安曲线形状为典型的超级电容器—由于电荷在电极表面进出产生巨大的充电电流。

图1.滴涂在Au镀膜的石英晶体上高比表面碳材料5次循环伏安结果。扫描速率10mV/s。
依照电荷补偿机制,阴阳离子将在扫描过程中在高比表面材料表面出入。例如,正向扫描将导致阳离子从电极表面脱附或者阴离子吸附进入电极表面。在本应用指南中,由于我们涉及到的是各种高比表面(多孔)材料,所以我们用术语脱出代替脱附,用注入替代吸附。
如图2所示为记录质量随电势相对于时间的变化。正向扫描导致质量下降,而负向扫描导致质量增加,质量在正顶点处变化很小。这些结果显示,初看,Cs+在电势正向扫描时从材料中脱出,而在电势负向扫描时注入。在正顶点处很小的质量变化说明此时很可能发生的是一个Cs+脱出于同时Cl-注入的混合过

图2.质量和电势相对于时间作图。实验条件如图1所列
如图3所示为单圈CV结果与质量数据的叠加。这些数据使电势高于400mV时的混合过程更明显。

图3.叠加有质量数据的循环伏安图。扫描条件如图1所列
如图4所示的质量—电荷数据,也就是质量变化相对于电荷作图将上述混合过程分析得更*。加入箭头显示扫描方向。虚线代表对选取数据部分的线性拟合。根据以下公式,再由这些拟合虚线的斜率,可以计算得到摩尔质量:
MM=Slope*F*n (1)
F为法拉第常数,n为电荷补偿过程中的电子数(此处n=1)。在此情况下,初始斜率173g/mol为一个Cs+离子(132g/mol)外加约2.3个水分子(18g/mol*2.3=41g/mol)。该质量-电荷作图的斜率随通过电荷越多而减小(更正的电势),直到降至8g/mol时基本上达到平衡,表明Cs+脱出和Cl-注入的混合过程。有人认为该过程由Cs+的脱出转向混合行为是由于Cs+的耗尽效应所造成的1。一旦材料中的Cs+在电荷补偿过程中被耗尽,此过程将转向Cl-的注入。扫描反向以后,质量—电荷曲线初始是平的,但随后斜率迅速增大至130g/mol。

图4.图3数据中得到的质量相对电荷作图。箭头标注初始扫描方向。虚线表示部分选取部分数据的线性拟合。
如上实验部分所述,另一种牌号,孔径大小不一样的高比表面碳粉沉积于Au镀膜石英晶体表面上被使用。
与之前样品不同,如图5所示,这种材料在电势正向扫描时质量增加,而负向扫描时质量减小,并没有出现耗尽效应。

图5.叠加有质量数据的循环伏安图。扫描速率为5mV/s。
如图6所示为质量—电荷作图。事实上,在该过程中观察到只有Cl-参与了电荷补偿机制。根据公式1计算得到摩尔质量为70.3g/mol,为一个Cl-离子外加平均1.9个水分子。

图6.图5数据中得到质量变化相对于电荷作图。箭头标注初始扫描方向。虚线表示部分选取部分数据的线性拟合。
从作图中弯曲弧度可以看出,这些与Cl-离子相结合的水分子实际个数会随扫描过程有微小变化的。在以后的应用指南中将会采用通量比的方法研究溶剂的检测以及离子传递动力学2。
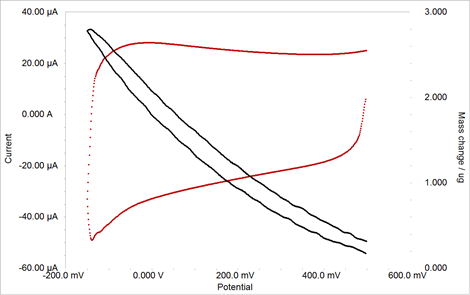
如上实验部分所述,第三种牌号的高比表面碳粉涂覆于Au镀膜石英晶体表面上被使用。这种碳粉具有和之前两种都不同的孔径大小。如图7所示为该材料循环5次后的测试结

图7.3号碳粉上循环5次后的循环伏安结果。扫描速率为10mV/s。
如图8所示为质量变化和电势相对于时间的曲线。该体系和其他两种碳粉相比,显示出*的响应。需要注意的是,随电势的增加质量减小,直到接近顶点处质量开始增加直到再次达到顶点。然后质量减少,直到反向扫描开始质量再次增加。

图8.采用3号碳粉时,质量变化和电势相对于时间作图。扫描速率为10mV/s
上述数据的单圈循环伏安结果如图9所示。引入箭头进行阐述。

图9.如图所示为数据的第2圈。
对这些数据进行作图,质量-电荷曲线如图10所示,显示出与1号碳粉类似的Cs+脱出耗尽效应。然而,与1号碳粉耗尽效应造成混合过程不同的是,3号碳粉中的电荷补偿机制看起来变成了仅有Cl-的注入。

图10.从图9数据中得到质量变化随电荷变化曲线。
为了便于理解,将曲线中的阳极过程和阴极过程分开作图,分别如图11和图12所示。

图11. 如图9中所示的阳极过程。Cs+脱出部分的斜率为173g/mol,而Cl-注入部分的斜率为88.7 g/mol。

图12. 如图9中所示的阴极过程。Cl-脱出部分的斜率为88.7g/mol,而Cs+注入部分的斜率为130g/mol。
需要注意点是与1号碳粉上的类似情况,当Cs+脱出时质量电荷曲线斜率为170.3g/mol,而Cs+嵌入时为130g/mol。同样是这些结果显示,在阳极扫描过程约2.3个水分子被用于Cs+的溶剂化,而在阴极扫描过程Cs+离子*被去溶剂化。
在3号碳粉电荷补偿机制中,在注入过程有约1.9个水分子伴随Cl-沉积,而在脱出过程则也有1.9个水分子伴随逐出。
QCMs 在除模拟LbL 装配之外还有很多应用领域
化学和生物传感器。
电聚合
嵌Li+过程研究
腐蚀研究
电沉积

eQCM10M 配备有Gamry Resonator软件,GamryEchemAnalyst 软件,快速启动向导,硬件操作手册(CD),软件操作手册(CD),一个EQCM 电池,一个交流电源适配器,一个USB接口电线,一个BNC 电线,一个恒电位仪接口电线,以及5 个Au-镀膜石英晶体电极(10MHz)。几种额外的选项包包括附加晶体支架,QCM 和EQCM流动电池,以及Pt-,Fe-镀膜晶体电极。预了解详情请参阅gamry网站。
本测试必须配有Microsoft®Windows XP SP3或更新版本电脑系统
参考文献
1. Levi, M. D., Salitra, G., Levy, N., Aurbach, D., Maier, J. Nat. Mater. 2009, 8, 872-875.
2. Hillman, A. R., Mohamoud, M., Bruckenstein, S. Electroanalysis 2005, 17, 1421-1432.