2025年09月19日 08:52:44 来源:苏州纽迈分析仪器股份有限公司 >> 进入该公司展台 阅读量:2
MRI造影剂T2弛豫时间及T2加权成像
1、实验目的:
测试MRI造影剂T2弛豫时间,以及造影剂样品的T2加权成像。
2、实验材料和方法:
2.1 实验材料
2种MRI造影剂样品,已配置好浓度梯度;
2.2 实验仪器
NM21核磁共振成像分析仪(纽迈分析),0.5T磁场,40mm直径探头线圈。

2.3 样品制备
T2类型MRI造影剂样品,配制好浓度。
2.4 实验方法
T2弛豫时间测试:使用核磁共振分析软件,用CMPG序列采集样品信号, 利用反演软件拟合出对应的T2弛豫时间。

T2加权成像实验:采用多层自旋回波成像序列对造影剂进行T2加权像。
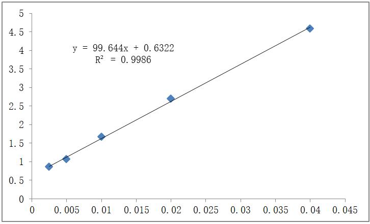
3、分析与结果
3.1 弛豫时间与弛豫率

3.2 核磁共振成像
MRI造影剂样品未做任何处理,采集样品横截面图像,完成T2加权像。
![]()
造影剂T2加权成像
由于T2加权像中抑制了长弛豫的信号,突出长弛豫的信号,即弛豫时间越长,在图像中越亮。
核磁共振成像原理简述:
,S表示该点的信号强度,A表示该点的质子密度,TR表示重复时间,是指两次90度脉冲之间的时间间隔,TE表示回波时间,是指90度脉冲到回波峰点之间的时间间隔,T1表示该点的纵向弛豫时间,T2表示该点的横向弛豫时间。
对于同一组造影剂的加权像测试,TR和TE设置是一致的,当同一组中不同浓度的造影剂T1或T2差距很大时,信号差异相差也大,转换成像素差异大,测得的亮度对比明显;相反地,如果同一组中不同浓度的造影剂T1或T2差距不大,那么信号差异不大,转换成像素差异也不大,那么,测得的亮度对比不明显。