2026年01月04日 08:11:49 来源:苏州冉辉光电科技有限公司 >> 进入该公司展台 阅读量:10
成像式亮度计工作原理如下图1所示。

可根据图
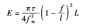
利用光度学和几何光学的原理可以推出:

式中:E—成像面上的照度;
L—发光面上的亮度;
t—光学系统的透射比(透过率);
f一透镜焦距;
l—透镜与发光面的距离(称为测量距离);
fm—系统相对孔径数,fm=flD,其中D为孔径直径。
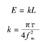
当系统的设计能使f/l到可忽略不计时(在某误差范围内),(1-f/l)2近似等于公式(1)可以化为:

公式(2)为设计成像式亮度计的基本公式。

成像亮度计的性能参数
(1)测量参数:亮度、亮度分布;
(2)测量范围
(3)亮度精度:一级;
(4)积分时间:100ms-60s;
(5)测试距离:150mm-∞(150mm时可测量对象尺寸:约20mm×14mm);
(6)线性:≤0.2%
(7)空间均匀度:±2%
(8)16位A/D,多档量程自动切换;
(9)采用多重曝光技术,可实现对亮度差异很大的测量对象进行准确测量;
(10)USB通讯接口及软件;
(11)供电:交流220V,50Hz/60Hz,或直流12V。
成像亮度计的应用领域
成像亮度计适用于路面亮度、景观照明、仪表盘亮度、显示屏亮度、光源和发光器件、电影电视、交通信号标志、建筑、大气光度等领域亮度的测试。