2026年01月04日 08:12:24 来源:深圳市晶诺威科技有限公司 >> 进入该公司展台 阅读量:7
LC并联电路与谐振频率原理及图解说明如下:
电感L、电容C具备储能的功能,一个将电能储存为磁场,另一个将电能储存为电场。将L、C并联在一起,并赋予一定的初始能量,这股能量就会在磁场、电场之间来回转换:

LC并联电路及其能量转换(假设初始状态电容充满能量)
LC上能量的变化过成如下所示:
![]()

LC电路充放电的各个阶段
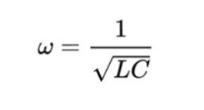
可以看到,LC电路充放电呈现出周期性特性,这个周期的频率就叫“谐振频率”(Resonance frequency)。它是LC电路的固有频率,由电路中的L和C决定:

其中, w=2πf
f= frequency of Resonance(谐振频率)
L= Inductance(电感)
C= Capacitance(电容)
LC谐振电路-仿真实验
